Maple Tutorial 2:
Trigonometric and Hyperbolic Functions

M.M. Yovanovich

TUTORIAL2.MWS

Trigonometric and hyperbolic functions.

> restart:

Trigonometric functions.

> trigs:= [sin(x), cos(x), tan(x), csc(x), sec(x), cot(x)];

[Maple Math]

> subs(x = Pi/3, trigs);

[Maple Math]

> evalf(%, 8);

[Maple Math]

Hyperbolic functions.

> hypers:= [sinh(x), cosh(x), tanh(x), sech(x), csch(x), coth(x)];

[Maple Math]

> subs(x = 0.7, hypers);

[Maple Math]

> evalf(%, 8);

[Maple Math]

Convert hyperbolics to exponential functions.

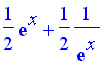
> convert(sinh(x), exp);

[Maple Math]

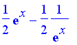
> convert(cosh(x), exp);

[Maple Math]

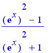
> convert(tanh(x), exp);

[Maple Math]

Inverse trigonometric functions.

> invtrig:= [arcsin(x),arccos(x),arctan(x)];

[Maple Math]

> subs(x = .45, invtrig);

[Maple Math]

> evalf(%, 8);

[Maple Math]

Inverse hyperbolic functions.

> invhyper:= [arcsinh(x),arccosh(x),arctanh(x)];

[Maple Math]

> subs(x = 0.9, invhyper);

[Maple Math]

> evalf(%, 10);

[Maple Math]

>