Orthogonality of Cosines

M.M. Yovanovich

ORTHOGCOSINES.MWS

Orthogonality of Cosines.

> restart:
with(linalg):

Warning, new definition for norm

Warning, new definition for trace

> matcos:= (m,n)->int(cos(m*Pi*x/L)*cos(n*Pi*x/L), x = 0..L);

[Maple Math]

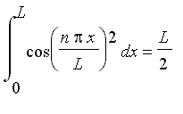
Obtain a 10 by 10 matrix to show that all entries except for the diagonal are zeros. This shows that the cosines

have the orthogonality property [Maple Math] for [Maple Math] different from [Maple Math] , otherwise the integral gives [Maple Math] for all values [Maple Math] .

> matrix(10,10,matcos);

[Maple Math]

>