Orthogonality of Cosines and Sines

M.M. Yovanovich

ORTHOGTRIG1.MWS

Orthogonality of Cosines and Sines.

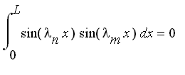
Orthogonality of the cosine and sine functions [Maple Math] and [Maple Math] , and [Maple Math] and [Maple Math] on the finite interval from [Maple Math] to [Maple Math] .

[Maple Math] when [Maple Math] and [Maple Math] are different, otherwise [Maple Math] is non-zero for all [Maple Math] .

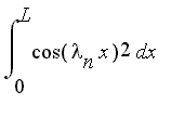
[Maple Math] when [Maple Math] and [Maple Math] are different, otherwise [Maple Math] is non-zero for all [Maple Math] .

The dimensionless parameter [Maple Math] will be used. The interval becomes [Maple Math] for [Maple Math] .

The [Maple Math] and [Maple Math] are roots of a characteristic equation such as [Maple Math] when the eigenfunctions are [Maple Math] or [Maple Math] .

> restart: with(linalg):

Warning, new definition for norm

Warning, new definition for trace

Define orthogonality relations for the cosines and sines. Let the interval lie between [Maple Math] and [Maple Math]

> orthogcos:= (m,n)-> int(cos(delta[m]*xi)*cos(delta[n]*xi), xi=0..1);

[Maple Math]

> orthogsin:= (m,n)-> int(sin(delta[m]*xi)*sin(delta[n]*xi), xi=0..1);

[Maple Math]

Define the characteristic equation with parameter [Maple Math] for the eigenfunctions [Maple Math] .

> ce:= delta*sin(delta) -Bi*cos(delta);

[Maple Math]

Set the parameter (say Bi=1) and calculate the roots(eigenvalues) of the characteristic equation,

> Bi:= 1.:

> rtsm:= [seq(fsolve(ce, delta=(n-1)*Pi..(2*n-1)*Pi/2), n=1..10)]:

> rtsn:= [seq(fsolve(ce, delta=(n-1)*Pi..(2*n-1)*Pi/2), n=1..10)]:

Show the orthogonality property of the eigenfunctions [Maple Math] .

> matcos:= [seq([seq(evalf(subs(delta[i] = rtsm[i],
delta[j] = rtsn[j], round(10^(8)*orthogcos(i,j))/10^(8))), j = 1..5)],
i = 1..5)]:

Show the 5 by 5 matrix.

> evalf(matrix(matcos));

[Maple Math]

Now we see that all entries of the matrix except for the main diagonal are negligible. This proves the orthogonality property of the cosine functions [Maple Math] . This property is valid for all eigenvalues which are roots of the characteristic equation for all values of the parameter [Maple Math] . Try some other value of [Maple Math] .

Another characteristic equation with parameter [Maple Math] , and eigenfunctions [Maple Math] .

> Bi:= 'Bi':
Bi:= 2.5:
ce2:= delta*cos(delta) + Bi*sin(delta);

[Maple Math]

Set the parameter (say Bi=2.5) and calculate the roots (eigenvalues) of the characteristic equation.

For [Maple Math] , the eigenvalues are the roots of [Maple Math] , i.e. [Maple Math] , for [Maple Math] , etc. For [Maple Math] , the eigenvalues are the roots of [Maple Math] , i.e. [Maple Math] , for [Maple Math] , etc. The roots are found in the intervals from [Maple Math] to [Maple Math] for [Maple Math] , etc.

> rtsm:= [seq(fsolve(ce2, delta=(2*n-1)*Pi/2..n*Pi), n=1..10)]:

> rtsn:= [seq(fsolve(ce2, delta=(2*n-1)*Pi/2..n*Pi), n=1..10)]:

Show the orthogonality property of the eigenfunctions [Maple Math] .

> matsin:= [seq([seq(evalf(subs(delta[i] = rtsm[i],
delta[j] = rtsn[j], round(10^(8)*orthogsin(i,j))/10^(8))), j = 1..5)],
i = 1..5)]:

Show the 5 by 5 matrix.

> evalf(matrix(matsin));

[Maple Math]

Now we see that all entries of the matrix except for the main diagonal are negligible. This proves the orthogonality property of the sine functions [Maple Math] . This property is valid for all eigenvalues which are roots of the characteristic equation for all values of the parameter [Maple Math] . Try some other value of [Maple Math] .