Separation of Variables Method

M.M. Yovanovich

SEPVARWAV1.MWS

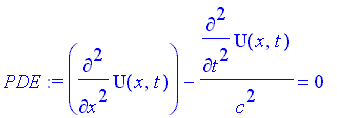
Separation of variables method applied to one-dimensional wave equation. The wave equation in cartesian coordinates which is

[Maple Math] will be separated into three sets of independent second-order ordinary differential equations by the substitution [Maple Math] where [Maple Math] and [Maple Math] are independent space and time functions.

> restart:

Wave equation in cartesian coordinates.

> PDE:= diff(U(x,t), x,x) - diff(U(x,t),t,t)/c^2 = 0;

[Maple Math]

> U(x,t):= X(x)*tau(t);

[Maple Math]

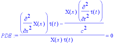
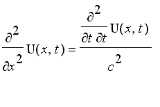
> PDE:= PDE/U(x,t);

[Maple Math]

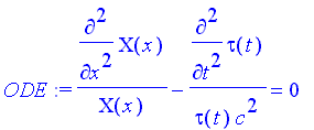
> ODE:= expand(PDE);

[Maple Math]

The two separated terms are functions of [Maple Math] and [Maple Math] only for all values of [Maple Math] and [Maple Math] . We can obtain three sets of independent second-order ordinary differential equations by setting the two terms to i) 0, ii) [Maple Math] , and iii) [Maple Math] . The three options will be used.

Option 1: ODEs and their solutions.

> ode11:= X(x)*op(1, lhs(ODE)) = 0;

[Maple Math]

> ode12:= -(c^2*tau(t))*op(2, lhs(ODE)) = 0;

[Maple Math]

> sol11:= subs(_C1 = A, _C2 = B, dsolve(ode11, X(x)));

[Maple Math]

> sol12:= subs(_C1 = A, _C2 = B, dsolve(ode12, tau(t)));

[Maple Math]

One Solution of the Wave Equation.

> sol1Wave:= rhs(sol11)*rhs(sol12);

[Maple Math]

The first solution of the wave equation is linear in space and time.

Option 2: ODEs and their Solutions.

> ode21:= expand(X(x)*(op(1, lhs(ODE)) + lambda^2)) = 0;

[Maple Math]

> ode22:= -expand((c^2*tau(t))*(op(2, lhs(ODE)) - lambda^2)) = 0;

[Maple Math]

> sol21:= subs(_C1 = A, _C2 = B, dsolve(ode21, X(x)));

[Maple Math]

> sol22:= subs(_C1 = C, _C2 = D, dsolve(ode22, tau(t)));

[Maple Math]

A Second Solution of the Wave Equation.

> sol2Wave:= rhs(sol21)*rhs(sol22);

[Maple Math]

The second solution of the wave equation consists of the product of independent periodic functions in space and time.

Option 3: ODEs and their Solutions.

> ode31:= expand(X(x)*(op(1, lhs(ODE)) - lambda^2)) = 0;

[Maple Math]

> ode32:= -expand((c^2*tau(t))*(op(2, lhs(ODE)) + lambda^2)) = 0;

[Maple Math]

> sol31:= subs(_C1 = A, _C2 = B, dsolve(ode31, X(x)));

[Maple Math]

> sol32:= subs(_C1 = C, _C2 = D, dsolve(ode32, tau(t)));

[Maple Math]

A Third Solution of the Wave Equation.

> sol3Wave:= rhs(sol31)*rhs(sol32);

[Maple Math]

>

The third solution of the one-dimensional wave equation consists of the product of two independent, non-periodic

functions in space and time.

Summary of the three solutions of the one-dimensional wave equation.

> sol_Wave1:= sol1Wave;

[Maple Math]

> sol_Wave2:= sol2Wave;

[Maple Math]

> sol_Wave3:= sol3Wave;

[Maple Math]

The third solution can also be expressed in terms of hyperbolic functions.

> sol_Wave32:= (A*cosh(lambda*x) + B*cosh(lambda*x))*(C*cosh(lambda*c*t) + D*sinh(lambda*c*t));

[Maple Math]

The constants of integration [Maple Math] and [Maple Math] will be deterined by the boundary and initial conditions of the problem. The boundary conditions must be homogeneous conditions of the first, second or third kinds, respectively.