Similarity Method

M.M. Yovanovich

SIMMETHOD.MWS

> restart:

Similarity method applied to diffusion equation.

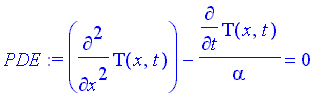
The similarity method is applied to the one-dimensional diffusion equation (heat equation) defined in the half-space [Maple Math] . The PDE [Maple Math] is transformed into the ODE [Maple Math] by means of the similarity parameter defined as

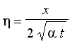
[Maple Math] or as [Maple Math] . Both definitions lead to the identical solution of the PDE.

The second definition will be used in this Maple worksheet.

Partial differential equation.

> PDE:= diff(T(x,t),x$2) - diff(T(x,t),t)/alpha = 0;

[Maple Math]

Similarity parameter.

> eta(x,t):= x/(2*sqrt(alpha*t));

[Maple Math]

Partial derivatives of the similarity parameter.

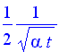
> diff(eta(x,t),x); diff(eta(x,t),t);

[Maple Math]

[Maple Math]

Conversion of the partial derivatives of the PDE.

> Tx:= diff(T(eta),eta)*diff(eta(x,t),x);

[Maple Math]

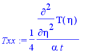
> Txx:= diff(Tx,eta)*diff(eta(x,t),x);

[Maple Math]

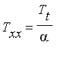
> Tt:= diff(T(eta),eta)*diff(eta(x,t),t);

[Maple Math]

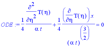
Transformed ODE.

> ODE:= Txx-Tt/alpha = 0;

[Maple Math]

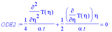
> ODE2:= subs(x = 2*sqrt(alpha*t)*eta, ODE);

[Maple Math]

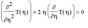
The transformed ODE.

> ODE3:= expand(4*alpha*t*ODE2);

[Maple Math]

Solution of the transformed ODE.

> unassign(eta):
sol:= subs(_C1=C1, _C2=C2, dsolve(ODE3, T(eta)));

[Maple Math]

Alternative form of the solution.

> sol2:= C3*erfc(eta) + C4;

[Maple Math]

Both forms appear in solutions of the one-dimensional diffusion equation in the half-space [Maple Math] .