ME 353 Heat Transfer 1

M.M. Yovanovich

P1MT90.MS

Problem 1 of Midterm Exam, October 1990.

____________________________________________

Compound pipe of length L as shown in Fig. 1.

The radii are a, b, c; the conductivities are k1, k2, k3;

heat transfer coefficients at inner and outer boundaries

are h1, h2; and the fluid temperatures are Tf1, Tf2.

Outer heat transfer coefficient consists of convection

and radiation.

All interfaces are thermally perfect.

Steady-state, constant properties, long cylinders.

____________________________________________

> restart:

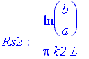
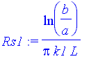
a) Resistances of the three solid components shown in Fig. 1.

Solids 1 and 2 are half-cylinders, and solid 3 is a full cylinder.

> Rs1:= ln(b/a)/(Pi*k1*L);

[Maple Math]

> Rs2:= ln(b/a)/(Pi*k2*L);

[Maple Math]

> Rs3:= ln(c/b)/(2*Pi*k3*L);

[Maple Math]

b) Lower bound on total resistance of the system.

Parallel isotherm model. The inner film resistance

is connected to the two inner half-cylinder resistances,

Rs1, Rs2, which are connected in parallel.

The resistance of the full cylinder, Rs3, and the outer

film resistance are in series with the other resistances.

The lower bound resistance of the system is given below.

> RLowerBound:=
1/(2*Pi*a*h1*L) + 1/(1/Rs1 + 1/Rs2)
+ Rs3 + 1/(2*Pi*c*h2*L);

[Maple Math]

c) Upper bound on total resistance of the system.

Parallel adiabats model.

There are two overall resistances which are in parallel.

These two resistances consist of three resistances

which are in series.

The upper bound on the system resistance is given below.


> RUpperBound:=
(1/(1/(Pi*a*h1*L) + Rs1 + 2*Rs3 + 1/(Pi*c*h2*L))
+ 1/(1/(Pi*a*h1*L) + Rs2 + 2*Rs3 + 1/(Pi*c*h2*L)))^(-1);

[Maple Math]

d) Compute Rl, Ru and Rapprox = (Rl + Ru)/2 for given parameters.

> case1:=
(a = 5/100, b = 15/100, c = 20/100, L = 1,
k1 = 17, k2 = 90, k3 = 2,h1 = 120, h2 = 11.5);

[Maple Math]

> Rapprox:= (Rl + Ru)/2;

[Maple Math]

> Rl:= evalf(subs(case1, RLowerBound), 5);

[Maple Math]

> Ru:= evalf(subs(case1, RUpperBound), 5);

[Maple Math]

> Rapprox:= evalf(Rapprox, 5);

[Maple Math]

The bounds differ by approximately 5.9%. The approximate

resistance value is expected to be an accurate estimate of

the system resistance.