ME 353 Heat Transfer 1

M.M. Yovanovich

P1MT96.MS

Problem 1 of Midterm Exam, October 1996.

___________________________________________________

The system consists of two plane walls in mechanical contact along

their interface. The thicknesses are L1 and L2, and the thermal

conductivities are k1 and k2 respectively. The contact conductance

is hc. The left boundary of the system is exposed to a uniform heat

flux qi. The right boundary looses heat by convection and radiation

through a film coefficient hconv and an equivalent radiation film

coefficient hrad. The fluid temperature and the surrounding temperature

are equal.

The heat transfer through the system is steady-state.

The thermophysical properties are constant.

The temperature at the left boundary of the system is T1 and

the temperature of the right boundary of the system is T3.

The interface temperatures are T2 and T2prime where T2 > T2prime.

The fluid and surrounding temperatures are Tinfinity.

________________________________________________

> restart:

a) and b) There are three resistances in series: R1, Rc and R2

which are in series with the convection and radiation resistances

which are in parallel.

There are five temperature nodes: T1, T2, T2prime, T3 and Tinfty.

The throughput is the heat transfer rate Q = qi*A.

d) Temperature relationships.

> T1:= Tinfty + Qi*Rtotal;

[Maple Math]

> T2:=
Tinfty + Qi*(Rc + R2 + 1/(1/Rconv + 1/Rrad));

[Maple Math]

> T21:=
Tinfty + Qi*(R2 + 1/(1/Rconv + 1/Rrad));

[Maple Math]

> T3:=
Tinfty + Qi/(1/Rconv + 1/Rrad);

[Maple Math]

> #Heat flow rate through composite wall.

> Qi:= qi*A;

[Maple Math]

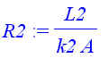
c) Component and total resistances of the system.

> R1:= L1/(k1*A); #Resistance of wall 1.

[Maple Math]

> Rc:= 1/(hc*A); #Contact resistance.

[Maple Math]

> R2:= L2/(k2*A); #Resistance of wall 2.

[Maple Math]

> Rconv:= 1/(hconv*A); #Convection resistance.

[Maple Math]

> Rrad:= 1/(hrad*A); #Radiation resistance.

[Maple Math]

> Rtotal:= R1 + Rc + R2 + 1/(1/Rconv + 1/Rrad);

[Maple Math]

> #Total resistance of the system.

> `T1 - Tinfty`:= expand(T1 - Tinfty);

[Maple Math]

> `T2 - Tinfty`:= expand(T2 - Tinfty);

[Maple Math]

> `T3 - Tinfty`:= simplify(T3 - Tinfty);

[Maple Math]

Dimensionless temperature distributions within the two walls.

Use local coordinates: wall 1: 0 <= x <= L1; wall 2: 0 <= x <= L2.


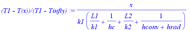
> #Dimensionless temperature distribution
#within wall 1 where 0 <= x <= L1.

> `(T1 - T(x))/(T1 - Tinfty)`:=

> subs(A = 1, Qi*x/(k1*A) /(Qi*Rtotal));

[Maple Math]

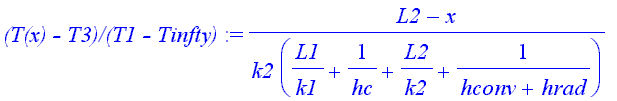
> #Dimensionless temperature distribution
#within wall 2 where 0 <= x <= L2.

> `(T(x) - T3)/(T1 - Tinfty)`:=

> subs(A = 1, Qi*(L2 - x)/(k2*A)/(Qi*Rtotal));

[Maple Math]

Observe that the heat transfer area is common to all terms

in the numerator and the denominator. It can be factored

from the above results by setting A = 1.