ME 353 Heat Transfer 1

M.M. Yovanovich

P2MT91.MS

Problem 2 of Midterm Exam, October 1991.

____________________________________________________

Thin metallic plate of thickness t and conductivity k. Net radiation

flux to upper surface of plate is qradpp, uniform. Upper surface is

convectively cooled by a fluid at temperature Tinfinity through a

uniform heat transfer coefficient h. The lower surface is insulated.

The plate length is 2 L. At x = 0 and x = 2 L the plate temperature

is T0. The temperature is symmetric about the point x = L.

The temperature gradient at x = L is zero.

____________________________________________________

> restart:

a) Derive the governing differential equation by means of a heat

balance over an appropriate control volume. Assume that T(x)

because the Biot number is small, ie, Bi = h*t/k < 0.2.

Use the temperature excess: theta(x) = T(x) - Tinfinity.

Let the width of the plate be w.

> q[x]:= - k*w*t*diff(theta(x), x);
#Conduction into CV.

[Maple Math]

> q[x + dx]:= q[x] + diff(q[x], x)*dx;
#Conduction out of CV

[Maple Math]

> q[rad]:= qradpp*w*dx;
#Radiation input to CV.

[Maple Math]

> q[conv]:= h*w*theta(x)*dx;
#Convection loss from CV.

[Maple Math]

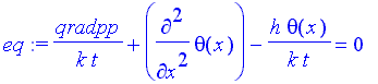
> eq:=
expand((q[x] + q[rad] - q[x + dx] - q[conv])/(k*w*t*dx)) = 0;

[Maple Math]

Introduce parameters m^2 = h/(k*t) and n = qradpp/(k*t)

into the equation.

> eq:= subs(h = k*t*m^2, qradpp = k*t*n, eq);

[Maple Math]

b) Obtain the solution.

Boundary conditions are: 1) at x = 0, theta(0) = T0 - Tinfinity, and

2) at x = L, dtheta(L)/dx = 0.

> sol:= dsolve(eq, theta(x));

[Maple Math]

Use the alternative form of the solution based on hyperbolic

functions. This form is preferable for plates of finite length.

> sol2:= n/m^2 + C1*cosh(m*x) + C2*sinh(m*x);

[Maple Math]

Solve for the constants of integration.

> dersol2:= diff(sol2, x);

[Maple Math]

> bc1:= expand(simplify(subs(x = 0, sol2))) = theta0;

[Maple Math]

> bc2:= subs(x = L, dersol2) = 0;

[Maple Math]

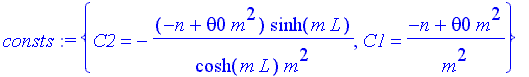
> consts:= solve({bc1, bc2}, {C1, C2});

[Maple Math]

Proceed with the solution.

> assign(consts);

The solution is

> sol2:= sol2;

[Maple Math]

Rewrite the form of the solution:.

> sol2:= n/m^2 + (theta0 - n/m^2)*cosh(m*x) - (theta0 - n/m^2)*tanh(mL)*sin(m*x);

[Maple Math]

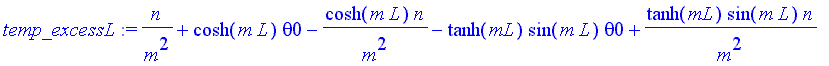
Check the temperature excess at x = 0 and x = L.

This is not required for the exam problem.

> temp_excess0:= simplify(subs(x = 0, sol2));

[Maple Math]

> temp_excessL:= expand(subs(x = L, sol2));

[Maple Math]