ME 353 Heat Transfer 1

M.M. Yovanovich

CONDEQ1.MWS

________________________________________________

Derivation of Conduction Equation in Cartesian Coordinates.

The solid has volumetric heat sources which are the result

of a variety of processes such as chemical, electrical, nuclear,

biological, mechanical, etc.

Assume that the properties are constant.

Obtain the following special cases from the general

three-dimensional equation:

1) Two-dimensional transient without heat sources: T(x, y, t) and P = 0;

2) One-dimensional transient with heat sources: T(x, t) and P > 0;

3) Two-dimensional, steady-state with sources: T(x, y) and P > 0;

4) Two-dimensional, steady-state without sources: T(x, y) and P = 0;

5) One-dimensional, steady-state with heat sources: T(x) and P > 0;

6) One-dimensional, steady-state without heat souces: T(x) and P = 0.

________________________________________________________

> restart:

Conduction rates into the control volume dV = dx dy dz.

> Q[x]:= - k*dA[x]*diff(T(x, y, z, t), x);

[Maple Math]

> Q[y]:= - k*dA[y]*diff(T(x, y, z, t), y);

[Maple Math]

> Q[z]:= - k*dA[z]*diff(T(x, y, z, t), z);

[Maple Math]

Conduction rates out of the control volume dV = dx dy dz. The first two terms of the Taylor series expansion are taken.

> Q[x + dx]:= Q[x] + diff(Q[x], x)*dx;

[Maple Math]
[Maple Math]

> Q[y + dy]:= Q[y] + diff(Q[y], y)*dy;

[Maple Math]
[Maple Math]

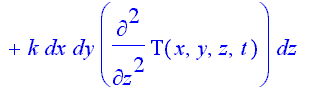
> Q[z + dz]:= Q[z] + diff(Q[z], z)*dz;

[Maple Math]
[Maple Math]

Define the differential conduction areas.

> dA[x]:= dy*dz;

[Maple Math]

> dA[y]:= dx*dz;

[Maple Math]

> dA[z]:= dx*dy;

[Maple Math]

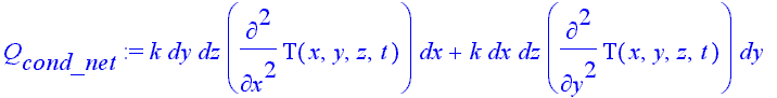
Net heat conduction rate into the differential control volume through the six

faces.

> Q[cond_net]:=
Q[x] + Q[y] + Q[z] - Q[x + dx]
- Q[y + dy] - Q[z + dz];

[Maple Math]
[Maple Math]

Heat generation rate within the differential control volume due to distributed

volumetric heat sources. P is the volumetric heat source strength. P is the volumetric heat source strength.
Units are W/m^3.

> Q[gen]:= P*dV;

[Maple Math]

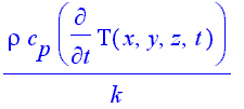
Rate of energy storage within the differential control volume.

> Q[storage]:=
rho*c[p]*diff(T(x, y, z, t), t)*dV;

[Maple Math]

> dV:= dx*dy*dz;

[Maple Math]

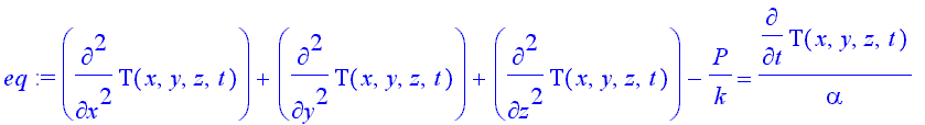
By means of an energy balance over the differential control

volume obtain the general three-dimensional conduction equation.

Divide by k*dV and simplify.

> eq:=
expand((Q[cond_net] - Q[gen] =
Q[storage])/(k*dV));

[Maple Math]
[Maple Math]

Introduce the thermal diffusivity alpha = k/(rho*cp) into the equation.

> eq:= subs(rho = k/alpha/c[p], eq);

[Maple Math]

The above equation is the three-dimensional diffusion equation

within a substance that has distributed volumetric heat sources.

The properties are assumed to be constant.

This partial differential equation is second-order in space and

first order in time.

It therefore requires one initial condition and six boundary

conditions to obtain its solution.

The above general equation can be used to obtain special cases.

A few special cases will be obtained below.

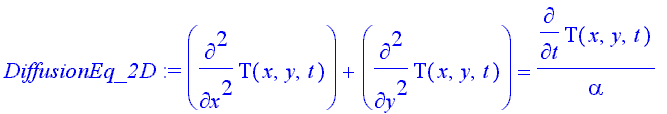
1) Two-dimensional transient without heat sources:

T(x, y, t) and P = 0;

> DiffusionEq_2D:=
expand(
subs(T(x, y, z, t) = T(x, y, t), P = 0, eq));

[Maple Math]

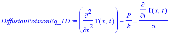
2) One-dimensional transient with heat sources: T(x, t) and P > 0;

> DiffusionPoissonEq_1D:=
expand(
subs(T(x, y, z, t) = T(x, t), eq));

[Maple Math]

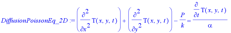
3) Two-dimensional, steady-state with sources: T(x, y) and P > 0;

> DiffusionPoissonEq_2D:=
expand(
subs(T(x, y, z, t) = T(x, y, t), eq));

[Maple Math]

4) Two-dimensional, steady-state without sources: T(x, y) and P = 0;

> LaplaceEq_2D:=
expand(
subs(T(x, y, z, t) = T(x, y), P = 0, eq));

[Maple Math]

5) One-dimensional, steady-state with heat sources: T(x) and P > 0;

> PoissonEq_1D:=
expand(
subs(T(x, y, z, t) = T(x), eq));

[Maple Math]

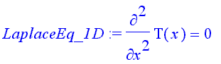
6) One-dimensional, steady-state without heat souces: T(x) and P = 0.

> LaplaceEq_1D:=
expand(
subs(T(x, y, z, t) = T(x), P = 0, eq));

[Maple Math]

>