Shape Factor: Circle-In-Regular Polygon

M.M. Yovanovich

SHPCIRPOLY.MWS

Shape factor for region bounded by isothermal inner circle and outer regular polygon of sides [Maple Math] . The ratio of the inner radius to the radius of the inscribed circle to the polygon is denoted as [Maple Math] .

As the number of sides of the outer regular polygon goes to infinity, the general expression goes to the well-known relation for the region bounded by two isothermal circles, i.e. [Maple Math] .

> restart:

Relation of Simeza and Yovanovich, 1987.

> S1:= 4*N*L/(A*sqrt(A^2+1))*arctan(sqrt(A^2+1)/A*tan(Pi/N));

[Maple Math]

> A:= sqrt(2*ln(beta));

[Maple Math]

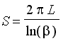
Relation of Laura and Susemihl, 1973.

> S2:= 2*Pi*L/ln(beta*As);

[Maple Math]

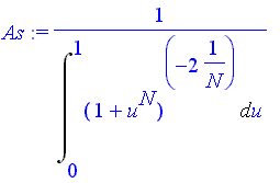
> As:= 1/Int((1+u^N)^(-2/N), u=0..1);

[Maple Math]

> Asvals:= evalf([seq(evalf(As), N=1..10)],6);

[Maple Math]
[Maple Math]

Calculation of Shape Factor for Circle-In-Square.

> S1vals:= evalf([seq(subs(L=1, N=4, beta = j, S1), j=2..10)], 6);

[Maple Math]

> S2vals:= evalf([seq(subs(L=1, As = Asvals[4], beta = j, S2), j=2..10)], 6);

[Maple Math]

The numerical values from the two relations differ by less than [Maple Math] .