Shape Factor: Regular Polygon-In-Circle

M.M. Yovanovich

SHPPOLYCIR.MWS

Shape factor of regions bounded by isothermal inner regular polygon of [Maple Math] sides and an outer circle. The radius of the inscribed circle is [Maple Math] and the radius of the outer circle is [Maple Math] . As the number of sides of the polygon goes to infinity, the general expression approaches the well-known expression for the region bounded by two isothermal circles, i.e. [Maple Math] . The diameter ratio [Maple Math] must be less than [Maple Math] .

> restart:

Relation of Lewis, 1968.

> S:= 2*Pi*L/ln(An*D/d);

[Maple Math]

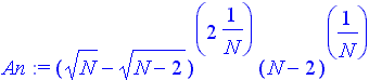
> An:= (sqrt(N)-sqrt(N-2))^(2/N)*(N-2)^(1/N);

[Maple Math]

> Anvals:= evalf([seq(subs(N=j, An), j=3..20)],6);

[Maple Math]
[Maple Math]

Calculation of Shape Factors for Square-In-Circle.

> Svals:= evalf([seq(subs(L=1, N=4, D =j*d, S), j=2..10)],6);

[Maple Math]

Calculation of [Maple Math] values for [Maple Math] .

> d_Dmax_vals:= evalf([seq(subs(N=j, cos(Pi/N)), j=3..10)],6);

[Maple Math]

The smallest value of [Maple Math] corresponds to the triangle in a circle.