Conduction Shape Factors: Table 4.1

M.M. Yovanovich

SHPTABLE4P1.MWS

Conduction shape factors. Table 4.1 of Incropera and DeWitt.

> restart:

Case 1.

Isothermal sphere od diameter [Maple Math] buried a distance [Maple Math] in semi-infinite medium. The distance and diameter relation is [Maple Math] .

> S1:= 2*Pi*D/(1-D/(4*z));

[Maple Math]

> S1val:= evalf(subs(D=1, z=1, S1), 5);

[Maple Math]

Case 2.

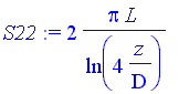
Horizontal isothermal cylinder of diameter [Maple Math] and length [Maple Math] where the length-to-diameter is much greater than 1, buried a distance [Maple Math] in a semi-infinite medium. There are two relations.

> S21:= 2*Pi*L/arccosh(2*z/D);

[Maple Math]

> S21val:= evalf(subs(L=5, D=1, z=1.5, S21), 5);

[Maple Math]

> S22:= 2*Pi*L/ln(4*z/D);

[Maple Math]

> S22val:= evalf(subs(L=5, D=1, z=1.5, S22), 5);

[Maple Math]

The two relations give comparable results for [Maple Math] and [Maple Math] .

Case 3.

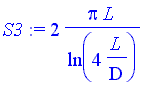
Vertical cylinder of diameter [Maple Math] and length [Maple Math] in a semi-infinite medium. The cylinder length-to-diameter must be greater than 5.

> S3:= 2*Pi*L/ln(4*L/D);

[Maple Math]

> S3val:= evalf(subs(D=0.5, L=5, S3), 5);

[Maple Math]

Case 4.

Conduction between two isothermal cylinders of common length [Maple Math] and diameters [Maple Math] and [Maple Math] in infinite medium. The length must be greater than 5 times the larger diameter. The distance between the cylinder axes is [Maple Math] . The cylinder length must be greater than the distance between their axes.

> S4:= 2*Pi*L/arccosh((4*w^2 - D1^2 - D2^2)/(2*D1*D2));

[Maple Math]

> S4val:= evalf(subs(D1=0.2, D2=0.5, w=1, L=3, S4), 5);

[Maple Math]

Case 5.

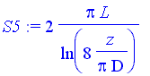
Horizontal circular cylinder of diameter [Maple Math] and length [Maple Math] , midway between parallel planes of equal length and infinite width. The separation distance of the planes is [Maple Math] . The length must be much greater than the distance from cylinder axis to either plane, and the distance from axis to plane must be much greater than the cylinder diameter.

> S5:= 2*Pi*L/ln(8*z/(Pi*D));

[Maple Math]

> S5val:= evalf(subs(D=0.1, z=0.9, L=3, S5), 5);

[Maple Math]

Case 6.

Circular cylinder of diameter [Maple Math] and length [Maple Math] centered in a square solid of side dimensions [Maple Math] . The cylinder length must be much greater than the side dimension, and the side dimension must be greater than the cylinder diameter.

> S6:= 2*Pi*L/ln(1.08*w/D);

[Maple Math]

> S6val:= evalf(subs(D=0.1, w=0.3, L=2, S6), 5);

[Maple Math]

Case 7.

Eccentric circular cylinder [Maple Math] inside a larger cylindrical solid of diameter [Maple Math] . The length of the two cylinders is [Maple Math] which is much larger than the larger diameter. The distance between cylinder axes is [Maple Math] .

> S7:= 2*Pi*L/arccosh((D^2+d^2-4*z^2)/(2*D*d));

[Maple Math]

> S7val:= evalf(subs(d=0.1, D=0.2, z=0.03, L=2, S7),5);

[Maple Math]

Case 10.

Circular disk of diameter [Maple Math] on the surface of a semi-infinite medium. The free surface of the semi-infinite medium is adiabatic.

> S10:= 2*D;

[Maple Math]

> S10val:= evalf(subs(D=0.2, S10), 5);

[Maple Math]

Case 9 and case 10 are not considered in this Maple worksheet.