ME 353 Heat Transfer 1

M.M. Yovanovich

EX3P3.MWS

Example 3.3 of 4th edition of Incropera and DeWitt.

Steady conduction through a conical system of circular cross-section. The length is [Maple Math] , and the diameters are [Maple Math] and [Maple Math] , and its thermal conductivity is [Maple Math] . The lateral sides are adiabatic and the two ends are isothermal at temperatures [Maple Math] and [Maple Math] with [Maple Math] . The local diameter is obtained from the relation [Maple Math] , and the two ends are located at [Maple Math] and [Maple Math] . The geometric parameter [Maple Math] .

1. Derive an expression for the one-dimensional temperature distribution [Maple Math] .

2. Calculate the heat transfer rate [Maple Math] given [Maple Math] , [Maple Math] , [Maple Math] , [Maple Math] , [Maple Math] .

> restart:

Assumptions.

1. Steady-state conduction.

2. Source free system.

3. One-dimensional temperature distribution.

4. Constant properties.

System parameters.

> syspar:= (a = 0.25, x1 = 0.05, x2 = 0.25, T1 = 400, T2 = 600, k = 3.46);

[Maple Math]

Fourier's Law of Conduction.

> Fourier:= Q = k*A(x)*Diff(T(x),x);

[Maple Math]

Find temperature disrtribution.

Separate the variables [Maple Math] and [Maple Math] , then integrate between appropriate limits.

> LHS:= Int(Q/A(x),x=x1..x2);

[Maple Math]

Conduction Area.

> A(x):= Pi/4*D(x)^2; D(x):= a*x;

[Maple Math]

[Maple Math]

> LHS:= subs(D(x) = a*x, LHS);

[Maple Math]

> LHS:= value(%);

[Maple Math]

> RHS:= -Int(k, T=T1..T2); RHS:= value(%);

[Maple Math]

[Maple Math]

Heat Transfer Rate.

> Q:= solve(LHS = RHS, Q);

[Maple Math]

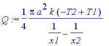
Alternative form of the relation for [Maple Math] .

> Q:= Pi*a^2*k*(T1-T2)/(1/x1 - 1/x2)/4;

[Maple Math]

> Qval:= evalf(subs(syspar, Q), 4)*W;

[Maple Math]

Temperature distribution in conical system.

> restart:

To avoid confusing Maple let the variables be denoted as [Maple Math] and [Maple Math] .

> LHS:= Int(Q/(Pi*(a*x)^2/4),x=x1..xx); LHS:= value(%);

[Maple Math]

[Maple Math]

> RHS:= -Int(k, T=T1..TT); RHS:= value(%);

[Maple Math]

[Maple Math]

> TT:= solve(LHS = RHS, TT);

[Maple Math]

> Q:= Pi*a^2*k*(T1-T2)/(1/x1 - 1/x2)/4;

[Maple Math]

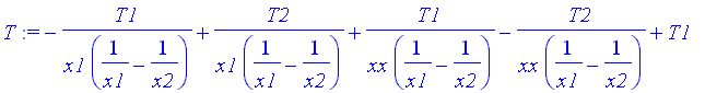
> T:= expand(TT);

[Maple Math]

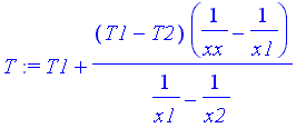
Alternative form of temperature distribution.

> T:= T1 + (T1-T2)*(1/xx - 1/x1)/(1/x1 - 1/x2);

[Maple Math]

The temperature distribution gives [Maple Math] at [Maple Math] , and [Maple Math] at [Maple Math] .