ME 353 Heat Transfer 1

M.M. Yovanovich

EX3P7.MWS

Example 3.7 of 4th edition of Incropera and DeWitt.

A long cylindrical tube of inner radius [Maple Math] and outer radius [Maple Math] is insulated at the outer surface and cooled at the inner surface by a fluid of temperature [Maple Math] and a heat transfer coefficient [Maple Math] . Uniform volumetric heat generation occurs in the tube wall.

1. Obtain the general solution of the temperature distribution in the tube wall.

> restart:

Assumptions are

1. Steady-state

2. One-dimensional conduction, therefore [Maple Math]

3. Constant properties

4. Uniform volumetric heat generation

5. Outer surface is adiabatic

6. Inner surface convectively cooled

7. Let the surface temperature at the inner surface be [Maple Math]

8. Assume unit length of tube, i.e. [Maple Math]

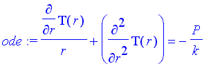
> ode:= expand(1/r*diff(r*diff(T(r),r),r)) = - P/k;

[Maple Math]

> sol:= dsolve(ode, T(r));

[Maple Math]

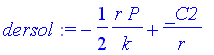
> dersol:= diff(rhs(sol), r);

[Maple Math]

Boundary conditions.

The outer surface is adaibatic, therefore the temperature gradient is zero by Fourier's Rate Equation.

The maximum temperature occurs at the adiabatic surface. Incropera and DeWitt denote the temperature at [Maple Math] to be [Maple Math] . They used this as a boundary condition.

The inner surface is convectively cooled. The inner surface temperature is denoted as [Maple Math] . It will be specified at the inner surface, then it will be found by means of a heat balance after the solution has been found.

> bc1:= subs(r=r1, rhs(sol)) = Ts1;

[Maple Math]

> bc2:= subs(r=r2, dersol) = 0;

[Maple Math]

Solve for constants of integration.

> consts:= solve({bc1,bc2}, {_C1,_C2});

[Maple Math]

Assign the constants to get the temperature distribution.

> assign(consts):

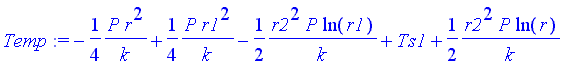
> Temp:= expand(rhs(sol));

[Maple Math]

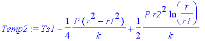
Alternative expression for the temperature distribution.

> Temp2:= Ts1 - P/k*(r^2-r1^2)/4 + P/(2*k)*r2^2*ln(r/r1);

[Maple Math]

This relation is different from the one given in the text. The text expression is based on the temperature [Maple Math] of the adiabatic surface.

Heat transfer rate from inner surface into fluid.

> Qgen:= P*V; V:= Pi*(r2^2 - r1^2)*L;

[Maple Math]

[Maple Math]

> Qconv:= h*Ainner*(Ts1 - Tf); Ainner:= 2*Pi*r1*L;

[Maple Math]

[Maple Math]

Find relation for temperature of inner surface by heat balance.

> Ts1:= expand(solve(Qgen - Qconv = 0, Ts1));

[Maple Math]

Find relation for maximum temperature which occurs at the adiabatic surface.

> Tmax:= expand(subs(r = r2, Temp));

[Maple Math]

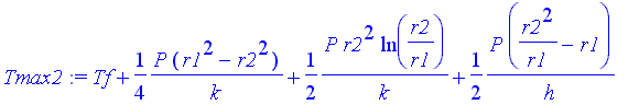
Alternative expression for the maximum temperature.

> Tmax2:= Tf + P/(4*k)*(r1^2-r2^2) + P*r2^2/(2*k)*ln(r2/r1) + P/(2*h)*(r2^2/r1 - r1);

[Maple Math]

Incropera and DeWitt did not report this relation.