ME 353 Heat Transfer 1

M.M. Yovanovich

VIEW2.MWS

_____________________________________

View Factors for Two-Dimensional Geometries.

The view factors F12 are presented in Table 13.1

of Incropera and DeWitt, 4th Edition, 1996.

*******************************************************

1) Parallel Plates w1 and w2 with Midlines

Connected by Perpendicular L.

2) Inclined Parallel Plates of Equal Width W,

Common Edge and Subtended Angle alpha.

3) Perpendicular Plates W1 and W2 with Common Edge.

4) Three-Sided Enclosure with Sides w1, w2 and w3.

5) Parallel Cylinders of radii r1 and r2, and Separation s.

6) Cylinder and Parallel Rectangle.

7) Infinite Plane and Row of Cylinders of Diameter D

and Spacing s.

Examples are presented at the end of the worksheet.

____________________________________________

> restart:

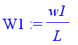
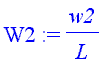
Parallel Plates W1 and W2 with Midlines Connected

by Perpendicular L.

> #W2 => W1, W1 = width1/perpendicular,
#W2 = width2/perpendicular.

> F12_ParallelPlates:=
(((W1 + W2)^2 + 4)^(1/2) -
((W2 - W1)^2 + 4)^(1/2))/(2*W1);

[Maple Math]

> W1:= w1/L; W2:= w2/L;

[Maple Math]

[Maple Math]

Inclined Parallel Plates of Equal Width W, Common Edge

and Subtended Angle alpha.

> #Plates are of equal width;
#alpha is the subtended angle in degrees.

> F12_InclinedPlates:= 1 - sin((alpha/2)*(Pi/180));

[Maple Math]

Perpendicular Plates w1 and w2 with Common Edge.

> F12_PerpendicularPlates:=
(1 + w2/w1 - sqrt(1 + (w2/w1)^2))/2;

[Maple Math]

Three-Sided Enclosure with Sides w1, w2 and w3.

> #The lengths of the three sides
#must form a triangle.

> F12_ThreeSidedEnclosure:=
(w1 + w2 - w3)/(2*w1);

[Maple Math]

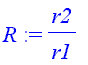
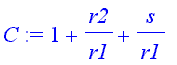
Parallel Cylinders of Radii r1 and r2, and Separation s.

> F12_ParallelCylinders:=
1/(2*Pi)*(Pi + sqrt(C^2 - (R + 1)^2) -
sqrt(C^2 - (R - 1)^2) +
(R - 1)*arccos((R/C) - 1/C) -
(R + 1)*arccos((R/C) + 1/C));

[Maple Math]
[Maple Math]

> R:= r2/r1; S:= s/r1; C:= 1 + R + S;

[Maple Math]

[Maple Math]

[Maple Math]

Cylinder of Radius r and Parallel Rectangle.

> F12_CylinderParallelRectangle:=
r/(s1 - s2)*(arctan(s1/L) - arctan(s2/L));

[Maple Math]

>

Infinite Plane and Row of Cylinders of Diameter D and Spacing s.

> #Spacing S => D

> F12_InfinitePlaneRowCylinders:=
1 - sqrt(1 - (D/s)^2) +
(D/s)*arctan(sqrt((s^2 - D^2)/D^2));

[Maple Math]

Examples of the applications of the above view factors.

> example1:=
(w1 = 1, w2 = 3, L = 1/2);

[Maple Math]

> F12_ex1:=
evalf(subs(example1, F12_ParallelPlates), 4);

[Maple Math]

> example2:=
(alpha = 30); #alpha = 30 degrees;

[Maple Math]

> F12_ex2:=
evalf(subs(example2, F12_InclinedPlates), 4);

[Maple Math]

> example3:=
(w1 = 1, w2 = 4);

[Maple Math]

> F12_ex3:=
evalf(
subs(example3, F12_PerpendicularPlates), 4);

[Maple Math]

> example4:=
(w1 = 1, w2 = 1, w3 = sqrt(2));
#This is a right triangle.

[Maple Math]

> #The length of the sides must form a triangle.

> F12_ex4:=
evalf(
subs(example4, F12_ThreeSidedEnclosure), 4);

[Maple Math]

> example5:=
(r1 = 1, r2 = 2, s = 0.25);

[Maple Math]

> F12_ex5:=
evalf(
subs(example5, F12_ParallelCylinders), 4);

[Maple Math]

> example6:=
(s1 = 3, s2 = 2, r = 0.5, L = 0.3);
#s1 > s2.

[Maple Math]

> F12_ex6:=
evalf(
subs(example6, F12_CylinderParallelRectangle), 4);

[Maple Math]

> example7:=
(D = 0.2, s = 0.3);

[Maple Math]

> F12_ex7:=
evalf(
subs(example7, F12_InfinitePlaneRowCylinders), 4);

[Maple Math]

>