ME 353 Heat Transfer 1

M.M. Yovanovich

VIEW4.MWS

View factors for sphere and circular disk systems.

______________________________________

1) Sphere to centrally placed circular disk.

2) Sphere to a sector of a circular disk.

3) Sphere to a segment of a circular disk.

______________________________________

> restart:

1) The view factor F12 from a sphere A1 of radius

a to a circular disk A2 of radius b which is located

along a line passing through their centers, and

c is the distance from the center of the sphere to

the centroid of the disk.

c must be equal to or greater than the sphere radius.

> F12_SphereDisk:=
1/2*(1 - 1/sqrt(1 + (b/c)^2));

[Maple Math]

Calculate the view factor for the sphere-disk system

when b = c.

> F12SphereDisk:=
evalf(subs(b = c, F12_SphereDisk), 4);

[Maple Math]

2) The view factor F12 from a sphere A1 of radius a

to a sector A2 of a circular disk radius b which is located

along a line passing through their centers, and c is

the distance from the center of the sphere to the centroid

of the disk.

c must be equal to or greater than the sphere radius.

The sector subtends the angle theta.

> F12_SphereSector:=
(theta/(4*Pi))*(1 - 1/sqrt(1 + (b/c)^2));

[Maple Math]

> #The subtended angle is theta
#where 0 < theta < 2*pi.

Calculate the view factor for the case where

b = 2 c and the sector is a semicircular disk,

ie. theta = pi.

> F12_SphereSemiCircle:=
evalf(
subs(theta = Pi, b = 2*c,
F12_SphereSector), 4);

[Maple Math]

3) The view factor F12 from a sphere of radius a

to a segment A2 of a circular disk of radius b.

The distance from the center of the sphere to

the centroid of the disk is c => a.

The segment is defined by the chord and the arc of the circle.

The distance from the center of the disk to the chord

is denoted as e where 0 <= e < b.

> F12_SphereSegment:=
1/8 - arccos(E1)/(2*Pi*sqrt(1 + 1/C^2)) +
1/(4*Pi)*arcsin(
(C^2 - E1^2 - 2*C^2*E1^2)/(C^2 + E1^2));

[Maple Math]

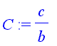
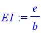
> C:= c/b; E1:= e/b;

[Maple Math]

[Maple Math]

Calculate F12 for the case where a = 1, b = 2,

c = 1 and e = 0.

This is the sphere to semicircular disk case.

> case1:= (a = 1, b = 2, c = 1, e = 0);

[Maple Math]

> F12SphereSemiDisk:=
evalf(
subs(case1, F12_SphereSegment), 4);

[Maple Math]

The value agrees with the value calculated above.