Transient Conduction in Sphere:

Single Term Approximation

M.M. Yovanovich

DFSPH1TERM.MWS

One-dimensional transient conduction in solid sphere of radius [Maple Math] . Single term approximation.

The single term approximation is applicable for all values of the Biot number provided the dimensionless time is greater than [Maple Math] .

The single term approximations have the forms:

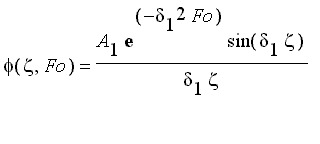
[Maple Math] and

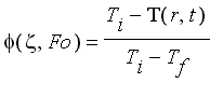
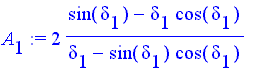
[Maple Math] where where the Fourier temperature and heat loss fraction coefficients are found from [Maple Math] and [Maple Math] . The first root of the characteristic equation [Maple Math] are obtained from the approximation [Maple Math] and the parameter [Maple Math] . For cooling the dimensionless temperature is defined as [Maple Math] , and [Maple Math] , [Maple Math] , and [Maple Math] .

> restart:

Dimensionless temperature.

> phi:= A[1]*exp(-delta[1]^2*Fo)*sin(delta[1]*zeta)/(delta[1]*zeta);

[Maple Math]

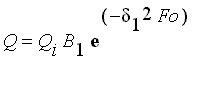
Heat loss fraction.

> Q_Qi:= 1-B[1]*exp(-delta[1]^2*Fo);

[Maple Math]

Fourier coefficients for temperature and heat loss fraction.

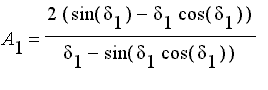
> A[1]:= 2*(sin(delta[1]) - delta[1]*cos(delta[1]))/(delta[1]-sin(delta[1])*cos(delta[1]));

[Maple Math]

> B[1]:= 6*Bi^2/(delta[1]^2*(delta[1]^2+Bi^2-Bi));

[Maple Math]

First root of characteristic equation.

> delta[1]:= Pi/(1+ (Pi/sqrt(3*Bi))^n)^(1/n);

[Maple Math]

> n:= 2.314;

[Maple Math]

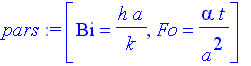
Dimensionless system parameters.

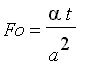
> pars:= [Bi = h*a/k, Fo=alpha*t/a^2];

[Maple Math]

Example 1.

> case1:= (a=20/1000, k = 20, h = 100, alpha=20e-6, t = 6);

[Maple Math]

Calculation of system dimensionless parameters.

> parsvals:= subs(case1, pars);

[Maple Math]

Dimensionless temperature distribution.

> phi1:= evalf(subs(pars, case1, phi));

[Maple Math]

Calculation of heat loss fraction.

> Q_Qi1:= evalf(subs(pars, case1, Q_Qi));

[Maple Math]

> plot(phi1, zeta=0..1);

[Maple Plot]

>