Lumped Capacitance Model

M.M. Yovanovich

LCM.MWS

_________________________________________

Lumped Capacitance Model.
Analytical and Numerical Solutions.

Derive and obtain the general solution of the

lumped capacitance equation.

This model is appropriate for systems for which the Biot

number is small, i.e. [Maple Math] < 0.2 where [Maple Math] is the uniform heat

transfer coefficient over the active surface area [Maple Math] , and [Maple Math] is the thermal

conductivity of the system and [Maple Math] is some characteristic length of

the system. The thermal conductivity does not appear in the lumped

capacitance model.

The system has volume [Maple Math] , mass density [Maple Math] , specific heat [Maple Math] .

The fluid temperature [Maple Math] is constant, and the temperature

excess [Maple Math] .

The system is subjected to a constant uniform heat flux [Maple Math] over the entire

surface and volumetric heat generation during the cooling process.

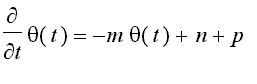
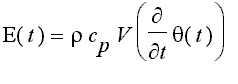
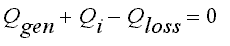
A heat balance [Maple Math] where [Maple Math] represents the energy storage within the system can be used to derive the

governing equation [Maple Math] with parameters: [Maple Math] , [Maple Math] , and [Maple Math] . The initial condition is [Maple Math] .

Obtain the relationship for steady-state.

_______________________________________________

> restart:

> HeatBalance:= Q[gen] + Q[i] - Q[loss] = Q[storage];

[Maple Math]

> Q[gen]:= P*V;

[Maple Math]

> Q[i]:= q[i]*S;

[Maple Math]

> Q[loss]:= h*S*theta(t);

[Maple Math]

> Q[storage]:= rho*c[p]*V*diff(theta(t), t);

[Maple Math]

> HeatBalance:= HeatBalance;

[Maple Math]

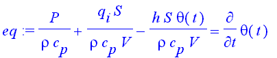
Put the equation into a simpler more general form by dividing through

by [Maple Math] and introducing the parameters [Maple Math] , [Maple Math] and [Maple Math] .

The units of [Maple Math] are [Maple Math] and the units of [Maple Math] are [Maple Math] .

> eq:= expand(HeatBalance/(rho*c[p]*V));

[Maple Math]

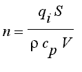
> eq_gen:=
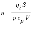
subs(q[i] = rho*c[p]*V*n/S, h = rho*c[p]*V*m/S, P = rho*c[p]*p, eq);

[Maple Math]

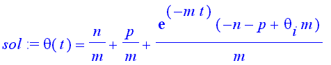
> sol:= dsolve(eq_gen, theta(t));

[Maple Math]

Specify the initial condition.

> ic:= theta(0) = theta[i];

[Maple Math]

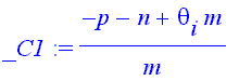
> _C1:=
solve(simplify(subs(t = 0, rhs(sol)))
= theta[i], _C1);

[Maple Math]

> sol:= expand(sol);

[Maple Math]

The relationship for steady-state temperature excess is obtained by setting

[Maple Math] , and solving for [Maple Math] .

> theta[ss]:= expand(solve(Q[gen]+Q[i]-Q[loss]=0, theta(t)));

[Maple Math]

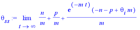
Alternative relationship for the steady-state temperature excess is

> theta[ss]:= n/m + p/m;

[Maple Math]

Here we show how Maple can be used to obtain
the general solution directly.

> restart:

> eq:= diff(theta(t), t) = - m*theta(t) + n + p;

[Maple Math]

> sol:=
dsolve({eq, theta(0) = theta[i]}, theta(t));

[Maple Math]

> theta[ss]:= limit(rhs(sol), t = infinity);

[Maple Math]

> theta[initial]:= simplify(subs(t = 0, rhs(sol)));

[Maple Math]

> case1:= (theta[i] = 100, m = 1, n = 2, p = 1);

[Maple Math]

> sol1:= subs(case1, rhs(sol));

[Maple Math]

Here we show how Maple can be used to find a

numerical solution for a particular case.

> restart:

> case2:= (theta[i] = 50, m = 2, n = 3, p=1);

[Maple Math]

> eq:= diff(theta(t), t) = - m*theta(t) + n + p;

[Maple Math]

> subs(case2, eq);

[Maple Math]

> solnum:=
dsolve({%, theta(0) = 50}, theta(t), numeric);

[Maple Math]

> solnum(0.5);

[Maple Math]

The result of the solution function call is a list showing floating-point

values for the independent and dependent variables. We can use subs

to extract the theta(t) part.

> subs(solnum(0.5), theta(t));

[Maple Math]

> evalf(%, 6); #6 digit value of the result.

[Maple Math]