Transient Conduction in Halfspace: Neumann Problem

M.M. Yovanovich

HSNEUMANN.MWS

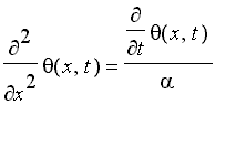
One-dimensional conduction in halfspace. The equation is [Maple Math] in the halfspace [Maple Math] for time [Maple Math] .

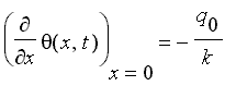
The initial condition is uniform temperature throughout the halfspace, [Maple Math] . The boundary conditions are (i) as

[Maple Math] , [Maple Math] , and (ii) at the free surface [Maple Math] , the surface flux is prescribed such that [Maple Math] , where [Maple Math] is a constant flux incident on the surface. Laplace transform methods are used to find the solution which is

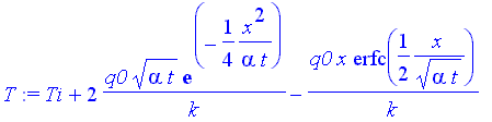
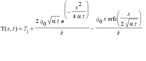
[Maple Math] .

> restart:

> case1:= (q0=1e4, k=20, alpha=20e-6, Ti = 300);

[Maple Math]

> T:= Ti + 2*q0/k*sqrt(alpha*t)*exp(-x^2/(4*alpha*t))- (q0*x)/k*erfc(x/(2*sqrt(alpha*t)));

[Maple Math]

Instantaneous surface temperature rise.

> T0:= expand(simplify(subs(x=0,T)));

[Maple Math]

Temperature and surface temperature rise for a given problem.

> T1:= subs(case1, T);

[Maple Math]

> T01:= evalf(subs(case1, T0),6);

[Maple Math]

Given the time, the temperature and the surface temperature rise can be calculated.

> evalf(subs(t=200, x=30/1000, T1),6);

[Maple Math]

> evalf(subs(t=200, T01),6);

[Maple Math]

Given the temperature and the position, the time can be calculated. A numerical solution is required.

> fsolve(subs(x=30/1000, T1) = 348, t);

[Maple Math]

>