Problem 1: ME 303 Spring 1998

M.M. Yovanovich

S98MTPROB1.MWS

Solution for Problem 1.

> restart:

(a) What are the S.I. units of [Maple Math] given the units of [Maple Math] ?

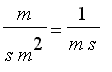
> units_nu:= solve(m/s/m^2 - 1/nu*m/s/s, nu);

[Maple Math]

The units of the terms of the given PDE are [Maple Math] . Since the units of [Maple Math] are [Maple Math]

the units of the transport property are [Maple Math] .

(b) Find the steady-state velocity distribution.

The steady-state velocity distribution is obtained from the ODE:

> odess:= diff(u(y),y,y) = 0;

[Maple Math]

> solss:= dsolve(odess, u(y));

[Maple Math]

The boundary conditions on the steady-state ODE and its solution are [Maple Math] and [Maple Math] .

> bc1:= subs(y = 0, rhs(solss)) = U;

[Maple Math]

> bc2:= subs(y = H, rhs(solss)) = 0;

[Maple Math]

> consts:= solve({bc1,bc2}, {_C1, _C2});

[Maple Math]

> assign(consts):

> solss:= solss;

[Maple Math]

The steady-state velocity distribution is linear in [Maple Math] as expected.

(c) By means of the steady-state velocity distribution and Newton's Law of Viscosity find the relation between the wall shear [Maple Math] and the parameters: [Maple Math] .

> tau[w]:= -mu*Diff(rhs(solss),y);

[Maple Math]

> tau[w]:= value(%);

[Maple Math]

(d) If the units of [Maple Math] , what are the units of [Maple Math] ?

> units_of_mu:= solve(N/m^2 - mu*(m/s)/m = 0, mu);

[Maple Math]

(e) Let [Maple Math] in the given PDE and obtain the SLP: Y'' + [Maple Math] Y = 0, in the interval [Maple Math] , with homogeneous BCS: [Maple Math] and [Maple Math] .

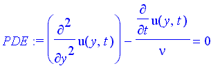
> restart:
PDE:= diff(u(y,t),y,y) - diff(u(y,t),t)/nu = 0;

[Maple Math]

> u(y,t):= v(y) + w(y,t);

[Maple Math]

> PDEsep:= PDE;

[Maple Math]

The given PDE can be separated in an ODE which represents the steady-state solution, and another homogeous PDE which can be separated by means of the substitution [Maple Math] into two related ODEs.

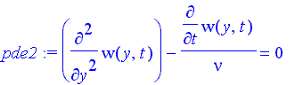
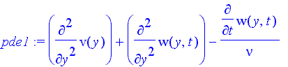
> pde1:= op(1,PDEsep);
pde2:= op(2,pde1) + op(3,pde1) = 0;

[Maple Math]

[Maple Math]

> w(y,t):= Y(y)*tau(t);

[Maple Math]

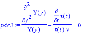
> pde3:= expand(pde2/w(y,t));

[Maple Math]

The PDE has been separated. We can find the related ODEs by setting the first term to [Maple Math] and the second term to [Maple Math] to get the separated ODEs.

> odeY:= diff(Y(y),y,y) + lambda^2*Y(y) = 0;

[Maple Math]

> odet:= diff(tau(t),t) + lambda^2*nu*tau(t) = 0;

[Maple Math]

The solutions of the separated ODEs are:

> solodeY:= dsolve(odeY, Y(y));

[Maple Math]

> solodet:= dsolve(odet, tau(t));

[Maple Math]

The boundary conditions on the [Maple Math] equation and its solution come from the conditions on the [Maple Math] equation.

Since [Maple Math] and [Maple Math] , we have [Maple Math] which requires that [Maple Math] . Since [Maple Math] cannot be [Maple Math] , then [Maple Math] .

Since [Maple Math] and [Maple Math] , we have [Maple Math] which requires [Maple Math] . Since [Maple Math] cannot be [Maple Math] , then we have [Maple Math] .

(f) What eigenfunctions and eigenvalues satisfy the SLP problem?

> bc1:= simplify(subs(y = 0, rhs(solodeY))) = 0;

[Maple Math]

> bc2:= simplify(subs(y = H, rhs(solodeY))) = 0;

[Maple Math]

From the first BC we see that [Maple Math] which removes the cosine function from the solution.

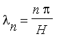
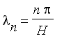
The second BC requires that [Maple Math] or [Maple Math] . The first choice leads to the trivial solution [Maple Math] , and therefore it is rejected. The second option requires that [Maple Math] .

For this SLP the eigenfunctions are the sines: [Maple Math] and the eigenvalues are [Maple Math] , where [Maple Math] , etc .