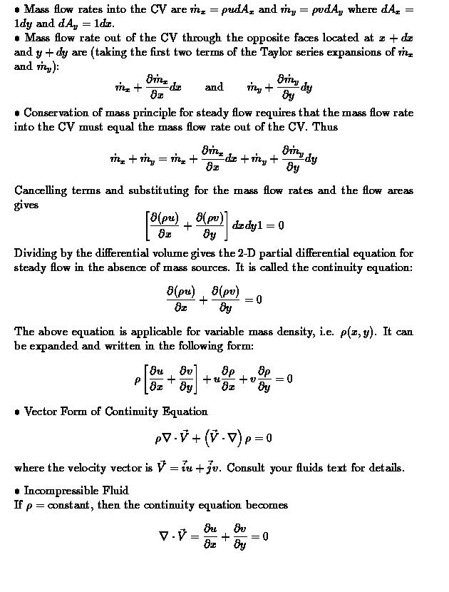
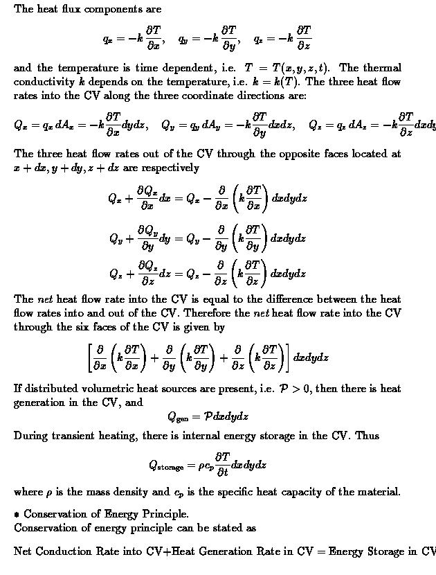
Index of /old/courses/me303/lecture/wk3tpcs
Parent Directory
P001.html
P002.html
P003.html
P004.html
P005.html
P006.html
S001.jpeg
S002.jpeg
S003.jpeg
S004.jpeg
S005.jpeg
S006.jpeg