Laplace Transform Method:

System of Ordinary Differential Equations

M.M. Yovanovich

LPTODE7.MWS

> restart:

> with(inttrans):

> alias(X(s) = laplace(x(t),t,s), Y(s) = laplace(y(t),t,s)):

Define the two ordinary differential equations.

> eq1:= diff(x(t),t) + 2*diff(y(t),t)-2*y(t) = t;

[Maple Math]

> eq2:= x(t) + diff(y(t),t) - y(t) = 1;

[Maple Math]

Take the Laplace transform of the two equations.

> lpteq1:= laplace(eq1,t,s);

[Maple Math]

> lpteq2:= laplace(eq2,t,s);

[Maple Math]

Specify the two initial conditions.

> ics:= (x(0)=0, y(0)=0);

[Maple Math]

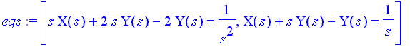
Substitute the initial conditions into the transformed equations.

> eqs:= subs(ics, [lpteq1,lpteq2]);

[Maple Math]

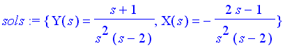
Obtain the solutions of the transformed equations, i.e., [Maple Math] and [Maple Math] .

> sols:= solve({eqs[1],eqs[2]}, {X(s),Y(s)});

[Maple Math]

Use the inverse Laplace transform to obtain the solutions for [Maple Math] and [Maple Math] .

> ysol= invlaplace(sols[1],s,t);

[Maple Math]

> xsol= invlaplace(sols[2],s,t);

[Maple Math]

Here we obtain the solutions of the system of equations directly.

> syseqs:= {eq1,eq2,ics};

[Maple Math]

> dsolve(syseqs, {x(t), y(t)}, method=laplace);

[Maple Math]