Laplace Transform Method:

Diffusion Equation With Dirichlet Condition

M.M. Yovanovich

LPTPDEDIR.MWS

Laplace transform of one-dimensional diffusion equation in half-space [Maple Math] with Dirichlet boundary condition at [Maple Math] . The PDE is [Maple Math] and the initial condition is [Maple Math] , with boundary conditions: [Maple Math] and [Maple Math] .

> restart:

> with(inttrans):

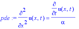
> pde:= diff(u(x,t),x,x) = 1/alpha*diff(u(x,t),t);

[Maple Math]

> alias(U(x,s)=laplace(u(x,t),t,s)):

> ode:= laplace(pde,t,s);

[Maple Math]

> ic:= u(x,0) = 0;

[Maple Math]

> bc1:= u(0,t) = u[0];

[Maple Math]

> bc2:= u(infinity,t) = 0;

[Maple Math]

> ode1:= subs(ic,ode);

[Maple Math]

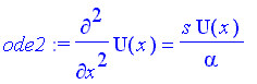
> ode2:= subs(U(x,s) = U(x), ode1);

[Maple Math]

> solode2:= dsolve(ode2, U(x));

[Maple Math]

To have a bounded solution at [Maple Math] , eliminate the positive exponential.

> _C1:= 0;

[Maple Math]

> solode3:= solode2;

[Maple Math]

Take the Laplace transform of the boundary condition at [Maple Math] .

> bc1:= laplace(bc1,t,s);

[Maple Math]

Solve for the second boundary condition.

> _C2:= solve(simplify(subs(x=0, rhs(solode3)) - rhs(bc1)), _C2);

[Maple Math]

> solode4:= solode3;

[Maple Math]

The solution of the problem is the inverse Laplace tranform of the above relation.

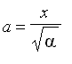
The Laplace transform tables cannot provide the inverse directly from the above expression. It will be necesary to let [Maple Math] before the tables can be used. We will try to use Maple to get the inverse.

> try1:= u[0]*exp(-sqrt(s)*a)/s;

[Maple Math]

> invlaplace(try1,s,t);

[Maple Math]

Maple can not give the inverse. Now try the parameter [Maple Math] .

> try2:= subs(a=1, try1);

[Maple Math]

> invlaplace(try2,s,t);

[Maple Math]

Maple has found the inverse and the solution can be expressed as

> assume(x>0):u(x,t) = subs(t = alpha*t/x^2, %);

[Maple Math]

The solution of the one-dimensional diffusion equation with Dirichlet boundary condition has been found.