Laplace Transform Method:

Diffusion Equation With Neumann Condition

M.M. Yovanovich

LPTDENEU.MWS

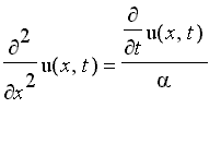
Laplace transform of one-dimensional diffusion equation in half-space [Maple Math] with Neumann boundary condition at [Maple Math] . The PDE is [Maple Math] with initial condition [Maple Math] , and boundary conditions: [Maple Math] and [Maple Math] .

> restart:

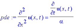
> with(inttrans):

> pde:= diff(u(x,t),x,x) = 1/alpha*diff(u(x,t),t);

[Maple Math]

> alias(U(x,s)=laplace(u(x,t),t,s)):

> ode:= laplace(pde,t,s);

[Maple Math]

> ic:= u(x,0) = 0;

[Maple Math]

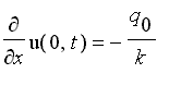
> bc1:= subs(x=0, diff(u(x,t),x)) = -q[0]/k;

[Maple Math]

> bc2:= u(infinity,t) = 0;

[Maple Math]

> ode1:= subs(ic,ode);

[Maple Math]

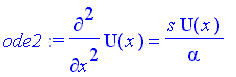
> ode2:= subs(U(x,s) = U(x), ode1);

[Maple Math]

> solode2:= dsolve(ode2, U(x));

[Maple Math]

To have a bounded solution at [Maple Math] , eliminate the positive exponential.

> _C1:= 0;

[Maple Math]

> solode3:= solode2;

[Maple Math]

Take the Laplace transform of the boundary condition at [Maple Math] .

> bc1:= laplace(diff(u(x,t),x),t,s) = - laplace(q[0]/k, t,s);

[Maple Math]

Obtain the second constant of integration from the Neumann boundary condition.

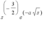
> rhs(solode3);
_C2:= solve(simplify(subs(x=0, diff(%, x))) =
- q[0]/k/s, _C2);

[Maple Math]

[Maple Math]

> solode4:= solode3;

Error, invalid terms in product

The solution of the problem is the inverse Laplace tranform of the above relation.

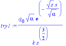
The Laplace transform tables cannot provide the inverse directly from the above expression. It will be necessary to let [Maple Math] before the tables can be used. We will try to use Maple to get the inverse.

> try1:= (q[0]/k)*sqrt(alpha)*exp(-sqrt(s)*x/sqrt(alpha))/
s^(3/2);

[Maple Math]

> invlaplace(try1,s,t);

[Maple Math]

Maple cannot provide the inverse of the expression. Use the Table presented to you. In the Table we find that the inverse Laplace transform of [Maple Math] is [Maple Math] . Comparing the table expression and the expression of the problem, we find that [Maple Math] and that the transform [Maple Math] is the product [Maple Math] in the problem.

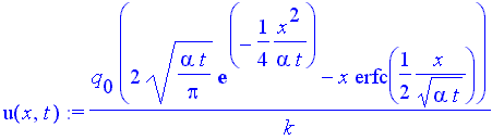
The solution can b e written in the form:

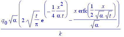
> u(x,t):= q[0]/k*(2*sqrt(alpha*t/Pi)*exp(-x^2/4/alpha/t) - x*erfc(x/2/sqrt(alpha*t)));

[Maple Math]

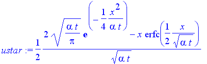
The solution can be non-dimensionalized by multiplying by [Maple Math] and dividing by the product [Maple Math] . Also introduce the similarity parameter: [Maple Math] .

> ustar:= k*u(x,t)/(2*q[0]*sqrt(alpha*t));

[Maple Math]

> ustar:= 1/sqrt(Pi)*exp(-eta^2) + eta*erfc(eta);

[Maple Math]

The solution is now complete.