Laplace Transform Method:

Diffusion Equation With Robin Condition

M.M. Yovanovich

LPTDEROB.MWS

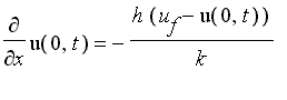
Laplace transform of one-dimensional diffusion equation in half-space with homogeneous Robin boundary condition at [Maple Math] . The PDE is [Maple Math] and the initial condition is [Maple Math] , with boundary conditions: [Maple Math] and [Maple Math] . The parameters are: [Maple Math] is the fluid temperature, [Maple Math] is the heat transfer coefficient, and [Maple Math] is the thermal conductivity of the half-space.

> restart:

> with(inttrans):

> pde:= diff(u(x,t),x,x) = 1/alpha*diff(u(x,t),t);

[Maple Math]

> alias(U(x,s)=laplace(u(x,t),t,s)):

> ode:= laplace(pde,t,s);

[Maple Math]

> ic:= u(x,0) = 0;

[Maple Math]

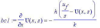
> bc1:= subs(x=0, diff(u(x,t),x)) = -h/k*(u[f]-u(0,t));

[Maple Math]

> bc2:= u(infinity,t) = 0;

[Maple Math]

> ode1:= subs(ic,ode);

[Maple Math]

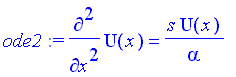
> ode2:= subs(U(x,s) = U(x), ode1);

[Maple Math]

> solode2:= dsolve(ode2, U(x));

[Maple Math]

To have a bounded solution at [Maple Math] , we can eliminate the positive exponential by setting [Maple Math] .

> _C1:= 0;

[Maple Math]

> solode3:= solode2;

[Maple Math]

Take the Laplace transform of the boundary condition at [Maple Math] .

> bc1:= laplace(diff(u(x,t),x),t,s) = - laplace(h/k*(u[f]-u(x,t)), t,s);

[Maple Math]

Obtain the second constant of integration from the transformed Neumann boundary condition.

> rhs(solode3);
diff(rhs(solode3), x);
bc1:= subs(x=0, diff(rhs(solode3),x)) + laplace(h/k*u[f], t,s) - h/k*subs(x=0, rhs(solode3))= 0;

[Maple Math]

[Maple Math]

[Maple Math]

> _C2:= solve(bc1, _C2);

[Maple Math]

> solode4:= solode3;

[Maple Math]

> solve(solode4, U(x));

[Maple Math]

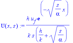
The solution in the transform domain can be written in the form:

> U(x,s):= ((h/k)*u[f]*exp(-sqrt(s/alpha)*x)/s)/(h/k + sqrt(s/alpha));

[Maple Math]

The solution of the problem is the inverse Laplace tranform of the above relation.

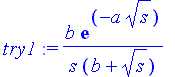
The Laplace transform tables cannot provide the inverse directly from the above expression. It will be necessary to let [Maple Math] and [Maple Math] before the tables can be used. We will try to use Maple to get the inverse of the following relation.

> try1:= b*exp(-a*sqrt(s))/(s*(b + sqrt(s)));

[Maple Math]

> invlaplace(try1,s,t);

[Maple Math]

Maple seems not to know how to get the inverse of the above relation. Lets try again with [Maple Math] and [Maple Math] .

> try2:= subs(a=1,b=1, try1);

[Maple Math]

> invlaplace(try2,s,t):
#To see the Maple output, replace: by ;

Maple has found something. It is too complicated for application. Use the table results. The solution is in terms of the parameters [Maple Math] and [Maple Math] .

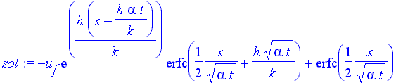
> sol_table:= -u[f]*exp(b*(a + b*t))*erfc(b*sqrt(t) + a/2/sqrt(t)) + erfc(a/2/sqrt(t));

[Maple Math]

Now substitute [Maple Math] , [Maple Math] , and [Maple Math] .

> sol:= subs(a=x, t=alpha*t, b=h/k, sol_table);

[Maple Math]

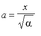
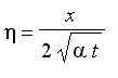
The solution can be put into the dimensionless form by means of the dimensionless parameters: [Maple Math] and [Maple Math] . The dimensionmless solution is [Maple Math] .

> solstar:= erfc(eta)- exp(2*eta*Bi + Bi^2)*erfc(eta + Bi);

[Maple Math]

The solution is now complete.