Ordinary Differential Equations:

Cartesian Coordinates

M.M. Yovanovich

ODESCART1.MWS

> restart:

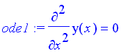
> ode1:= diff(y(x),x$2) = 0;

[Maple Math]

> sol1:= dsolve(ode1, y(x));

[Maple Math]

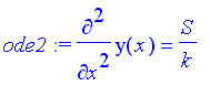
> ode2:= diff(y(x),x$2) = S/k;

[Maple Math]

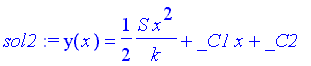
> sol2:= dsolve(ode2, y(x));

[Maple Math]

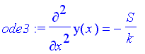
> ode3:= diff(y(x),x$2) = -S/k;

[Maple Math]

> sol3:= dsolve(ode3, y(x));

[Maple Math]

> ode4:= diff(y(x),x$2) + lambda^2*y(x) = 0; assume(lambda > 0);

[Maple Math]

> sol4:= dsolve(ode4, y(x));

[Maple Math]

> ode5:= diff(y(x),x$2) - lambda^2*y(x) = 0; assume(lambda > 0);

[Maple Math]

> sol5:= dsolve(ode5, y(x));

[Maple Math]

> ode6:= diff(y(eta),eta$2) + 2*eta*diff(y(eta),eta)=0;

[Maple Math]

> sol6:= dsolve(ode6, y(eta));

[Maple Math]

>