Ordinary Differential Equations:

Spherical Coordinates

M.M. Yovanovich

ODESSPH1.MWS

> restart:

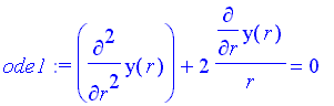
> ode1:= diff(y(r),r$2)+ 2/r*diff(y(r),r) = 0;

[Maple Math]

> sol1:= dsolve(ode1, y(r));

[Maple Math]

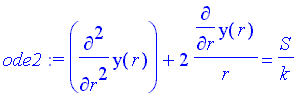
> ode2:= diff(y(r),r$2)+ 2/r*diff(y(r),r) = S/k;

[Maple Math]

> sol2:= dsolve(ode2, y(r));

[Maple Math]

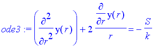
> ode3:= diff(y(r),r$2)+ 2/r*diff(y(r),r) = -S/k;

[Maple Math]

> sol3:= dsolve(ode3, y(r));

[Maple Math]

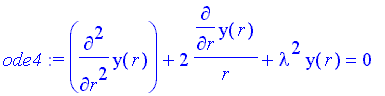
> ode4:= diff(y(r),r$2)+ 2/r*diff(y(r),r) + lambda^2*y(r) = 0; assume(lambda > 0);

[Maple Math]

> sol4:= dsolve(ode4, y(r));

[Maple Math]

> ode5:= diff(y(r),r$2)+ 2/r*diff(y(r),r) - lambda^2*y(r) = 0; assume(lambda > 0);

[Maple Math]

> sol5:= dsolve(ode5, y(r));

[Maple Math]

>