Linear Methods of Applied Mathematics

Solving the wave equation by separation of variables

The classical linearized wave equation is

[Maple Math] .

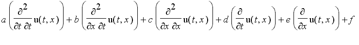
We classify this PDE as a special case of the more general constant coefficient, second order equation:

[Maple Math] .

Second order refers to the lack of derivatives of more than second order.We will solve the wave equation by the method of separation of variables in this worksheet. Later, we will use the methods of d'Alembert.

This first method is often good for linear equations. In this case, linear refers to the superposition property . That is, if two functions [Maple Math] and [Maple Math] are solutions then so is any linear combination:

[Maple Math] .

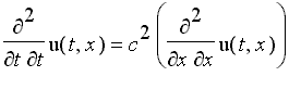
We often set c = 1 for convenience, so we define the wave operator.

> waveop:=diff(u(t,x),t,t)-diff(u(t,x),x,x);

[Maple Math]

(Equivalently, we could choose a clock with time variable T = c*t.)

Let's test out the wave operator

> u:=(t,x)->t*sin(x)^2; waveop;

[Maple Math]

[Maple Math]

> u:=(t,x)->sin(t-x); waveop;

[Maple Math]

[Maple Math]

> u:='u':

The method of separation of variables is precisely what it says: One assumes that solutions can be written as products of separate functions of t and x. Thus, we make the ansatz that u(t,x) is of the special form T(t) X(x), known as a product solution.

> eq:=subs(u(t,x)=T(t)*X(x),waveop)=0;

[Maple Math]

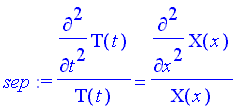
This simplifies if we divide through by T(t) X(x).

> eq/X(x)/T(t);
expand(%);

[Maple Math]

[Maple Math]

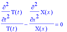
> sep:=(%)+(diff(X(x),x,x)/X(x)=diff(X(x),x,x)/X(x));

[Maple Math]

The left side of the equation sep depends only on t and the right side depends only on x . Thus, each side must be constant. We do not know the value of this constant, yet. We call it - [Maple Math] .

>