Separation of Variables Method Diffusion Equation

in Circular Cylinder Coordinates

M.M. Yovanovich

SEPVARDIFFCYL1.MWS

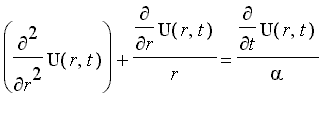
Separation of variables method applied to the one-dimensional diffusion equation in circular cylinder coordinates. The partial differential equation [Maple Math] will be separated into three sets of independent ordinary differential equations by the substitution [Maple Math] where [Maple Math] and [Maple Math] are independent space and time functions.

Diffusion equation in circular cylinder coordinates.

> restart:

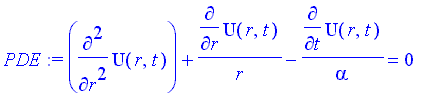
> PDE:= diff(U(r,t),r,r) + diff(U(r,t),r)/r - diff(U(r,t),t)/alpha = 0;

[Maple Math]

> U(r,t):= R(r)*tau(t);

[Maple Math]

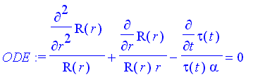
> ODE:= expand(PDE/U(r,t));

[Maple Math]

We observe that the substitution has separated the partial differential equation into three terms. The first two terms are dependent on [Maple Math] only and the third term depends on [Maple Math] only. This identity must hold for all values of [Maple Math] and [Maple Math] .

The identity is satisfied by setting the sum of the first two terms and the third term to i) [Maple Math] , ii) [Maple Math] and iii) [Maple Math] .

These three options will be examined below.

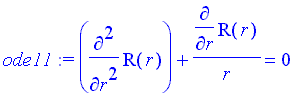
Option 1: ODEs and their Solutions.

> ode11:= expand(R(r)*(op(1, op(1, ODE)) + op(2, op(1, ODE)))) = 0;

[Maple Math]

> ode12:= -tau(t)*op(3, op(1,ODE)) = 0;

[Maple Math]

> sol11:= subs(_C1 = A, _C2 = B, dsolve(ode11, R(r)));

[Maple Math]

> sol12:= subs(_C1 = C, dsolve(ode12, tau(t)));

[Maple Math]

One Solution of the Diffusion Equation.

> sol1Diffusion:= rhs(sol11)*rhs(sol12);

[Maple Math]

The first solution of the one-dimensional diffusion equation is independent of time and logarithmic in [Maple Math] .

The constant of integration [Maple Math] can be combined with the other two constants of integration.

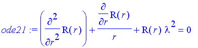
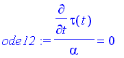
Option 2: ODEs and their Solutions.

> ode21:= expand(R(r)*(op(1, op(1, ODE)) + op(2, op(1, ODE)) + lambda^2)) = 0;

[Maple Math]

> ode22:= expand(-alpha*tau(t)*(op(3, op(1,ODE)) - lambda^2)) = 0;

[Maple Math]

> sol21:= subs(_C1 = A, _C2 = B, dsolve(ode21, R(r)));

[Maple Math]

> sol22:= subs(_C1 = C, dsolve(ode22, tau(t)));

[Maple Math]

A Second Solution of the Diffusion Equation.

> sol2Diffusion:= rhs(sol21)*rhs(sol22);

[Maple Math]

The second solution of the one-dimensional diffusion consists of the product of Bessel functions of the first and second kinds of order 0 and an exponential time function.

The Bessel functions are periodic. The time function decreases with increasing time. The constant of integration [Maple Math] can be combined with the other two constants of integration.

Option 3: ODEs and their Solutions.

> ode31:= expand(R(r)*(op(1, op(1, ODE)) + op(2, op(1, ODE)) - lambda^2)) = 0;

[Maple Math]

> ode32:= expand(-alpha*tau(t)*(op(3, op(1,ODE)) + lambda^2)) = 0;

[Maple Math]

> sol31:= subs(_C1 = A, _C2 = B, dsolve(ode31, R(r)));

[Maple Math]

> sol32:= subs(_C1 = C, dsolve(ode32, tau(t)));

[Maple Math]

A Third Solution of the Diffusion Equation.

> sol3Diffusion:= rhs(sol31)*rhs(sol32);

[Maple Math]

The third solution of the one-dimensional diffusion consists of the product of modified Bessel functions of the first and second kinds of order 0 and an exponential time function.

The modified Bessel functions are non-periodic. The time function increases with increasing time.

The constant of integration [Maple Math] can be combined with the other two constants of integration.

Summary of the three independent solutions of the one-dimensional diffusion equation.

> sol_Diffusion1:= subs(C = 1, sol1Diffusion);

[Maple Math]

> sol_Diffusion2:= subs(C = 1, sol2Diffusion);

[Maple Math]

> sol_Diffusion3:= subs(C = 1, sol3Diffusion);

[Maple Math]

The two constants of integration [Maple Math] and [Maple Math] and [Maple Math] will be determined by the homogeneous boundary conditions of the first, second and third kinds, respectively, and the initial condition.