Separation of Variables Method

M.M. Yovanovich

SEPVARLAP1.MWS

Separation of variables method applied to the two-dimensional Laplace equation in cartesian coordinates. The Laplace equation [Maple Math] will be separated into three sets of independent second-order ordinary differential equations by the substitution [Maple Math] where [Maple Math] and [Maple Math] are independent functions.

> restart:

Laplace equation in cartesian coordinates.

> PDE:= diff(U(x,y),x,x) + diff(U(x,y),y,y) = 0;

[Maple Math]

> U(x,y):= X(x)*Y(y);

[Maple Math]

> PDE:= PDE/U(x,y);

[Maple Math]

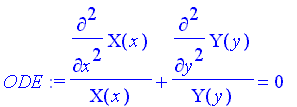
> ODE:= expand(PDE);

[Maple Math]

The two separated terms are functions of [Maple Math] and [Maple Math] only for all values of [Maple Math] and [Maple Math] . We can obtain three sets of independent second-order ordinary differential equations by setting the two terms equal to i) [Maple Math] , ii) [Maple Math] , and iii) [Maple Math] . We will examine the three choices.

Choice 1: ODEs and their Solutions.

> ode11:= X(x)*op(1,lhs(ODE)) = 0;

[Maple Math]

> ode12:= Y(y)*op(2,lhs(ODE)) = 0;

[Maple Math]

> sol11:= subs(_C1 = A, _C2 = B, dsolve(ode11, X(x)));

[Maple Math]

> sol12:= subs(_C1 = C, _C2 = D, dsolve(ode11, X(x)));

[Maple Math]

One Solution of the Laplace Equation.

> sol1Laplace:= rhs(sol11)*rhs(sol12);

[Maple Math]

Both separated ODEs have linear solutions in [Maple Math] and [Maple Math] respectively.

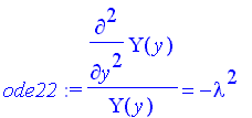
Choice 2: ODEs and their Solutions.

> ode21:= op(1,lhs(ODE)) = + lambda^2;

[Maple Math]

> ode22:= op(2,lhs(ODE)) = - lambda^2;

[Maple Math]

> sol21:= subs(_C1 = A, _C2 = B, dsolve(X(x)*ode21, X(x)));

[Maple Math]

> sol22:= subs(_C1 = C, _C2 = D, dsolve(Y(y)*ode22, Y(y)));

[Maple Math]

A Second Solution of the Laplace Equation.

> sol2Laplace:= rhs(sol21)*rhs(sol22);

[Maple Math]

The second solution of the Laplace equation consists of exponential functions in [Maple Math] and periodic trigonometric functions in [Maple Math] .

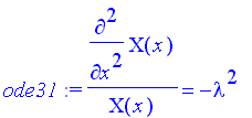
Choice 3: ODEs and their Solutions.

> ode31:= op(1,lhs(ODE)) = - lambda^2;

[Maple Math]

> ode32:= op(2,lhs(ODE)) = + lambda^2;

[Maple Math]

> sol31:= subs(_C1 = A, _C2 = B, dsolve(X(x)*ode31, X(x)));

[Maple Math]

> sol32:= subs(_C1 = C, _C2 = D, dsolve(Y(y)*ode32, Y(y)));

[Maple Math]

A Second Solution of the Laplace Equation.

> sol3Laplace:= rhs(sol31)*rhs(sol32);

[Maple Math]

The third solution of the Laplace equation consists of periodic trigonometric functions in [Maple Math] and non-periodic exponential functions in [Maple Math] .

Summary of the three solutions of the two-dimensional Laplace equation.

> sol_Laplace1:= sol1Laplace;

[Maple Math]

> sol_Laplace2:= sol2Laplace;

[Maple Math]

> sol_Laplace3:= sol3Laplace;

[Maple Math]

The constants of integration [Maple Math] and [Maple Math] , and the separation constant [Maple Math] will be determined by means of the homogeneous boundary conditions of the first, second and third kinds, respectively.