ME 353 Heat Transfer 1

M.M. Yovanovich

FEF97P1.MWS

Solution for Problem 1 of Final Examination, Fall 1997.

Assumptions:

1) Steady-state.

2) System is source free.

3) Constant properties.

4) Radial conduction such that T = T(r).

> restart:

System parameters

> sys:= (ri = 10/1000, ro = 14/1000, k = 15,
hi = 40, Tfi = 300, qo = 2e3);

[Maple Math]

(a) Equivalent thermal circuit

The equivalent thermal circuit consists of three temperature nodes: Tfi, T1, T2

and two thermal resistors: Rfi and Rs, and the through put is the heat transfer

rate Q = qi Ao. The unknown temperatures are T1 and T2 at the inner and outer

surfaces of the cylinder, and the thermal resistances are the film resistance Rfi

and the inner surface and the solid resistance of the cylindrical wall.

(b) Relation for the inner surface temperature T1 using resistances.

> T1:= Tfi + Q*Rfi;
Q:= q0*Ao; Rfi:= 1/(hi*Ai);
Ai:= 2*Pi*ri; Ao:= 2*Pi*ro;

[Maple Math]

[Maple Math]

[Maple Math]

[Maple Math]

[Maple Math]

> T1:= T1;

[Maple Math]

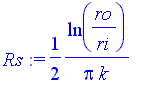
(c) Relation for the outer surface temperature T2 using resistances.

> T2:= Tfi + Q*(Rfi + Rs):
Rs:= ln(ro/ri)/(2*Pi*k);

[Maple Math]

> T2:= T2;

[Maple Math]

The previous relation can be simplified by cancellation of common

factors.

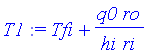
> T2:= Tfi + q0*ro/(hi*ri) + qo*ro/k*ln(ro/ri);

[Maple Math]

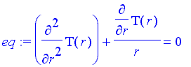
(d) Solve the conduction equation for the temperature T(r).

> eq:= diff(T(r), r, r) + 1/r*diff(T(r), r) = 0;

[Maple Math]

> sol:= subs(_C1 = C1, _C2 = C2, dsolve(eq, T(r)));

[Maple Math]

> dersol:= diff(sol, r);

[Maple Math]

> bc1:=
subs(r = ri, rhs(dersol)) -
hi/k*(subs(r = ri, rhs(sol)) - Tfi) = 0;

[Maple Math]

> bc2:= subs(r = ro, rhs(dersol)) - qo/k = 0;

[Maple Math]

> consts:= solve({bc1, bc2}, {C1, C2});

[Maple Math]

> assign(consts):

> T:= expand(rhs(sol));

[Maple Math]

The previous result can be written in the following way.

> T:= Tfi + qo*ro/(hi*ri) - qo*ro/k*ln(r/ri);

[Maple Math]

The variable r lies in the range: ri < r < ro.

(e) Compute the temperatures T1 and T2 for the given values of the parameters

> T1val:= evalf(subs(r = ri, sys, T), 4);

[Maple Math]

> T2val:= evalf(subs(r = ro, sys, T), 4);

[Maple Math]

The very small difference occurs because the solid resistance is much smaller than

the film resistance.

> Rfival:= evalf(subs(sys, Rfi), 4);
Rsval:= evalf(subs(sys, Rs), 4);
evalf(Rfival/Rsval, 4);

[Maple Math]

[Maple Math]

[Maple Math]

The film resistance is approximately 112 times greater than the solid resistance.