ME 353 Heat Transfer 1

M.M. Yovanovich

FEF96P4.MWS

_________________________________________

Problem 4 of Final Examination, December 9, 1996.

See the problem statement.

_________________________________________

> restart:

Specify the system parameters.

> case1:=
(q = 600, Tmi = 27, m = 3*10^(- 4),
W1 = 4/1000, W2 = 16/1000, L = 1);

[Maple Math]

Specify the air properties.

> airprops:=
(k = 0.0263, cp = 1007, mu = 184.6*10^(- 7), Pr = 0.707);

[Maple Math]

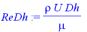
Reynolds number based on hydraulic diameter.

> ReDh:= rho*U*Dh/mu;

[Maple Math]

Since the mass density is unknown, but the mass flow rate is given,

replace the product rho*U by m/A.

> ReDh:= subs(rho = m/(A*U), ReDh);

[Maple Math]

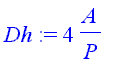
The hydraulic diameter, flow area and the perimeter.

> Dh:= 4*A/P;

[Maple Math]

> A:= W1*W2; #Flow area.

[Maple Math]

> P:= 2*(W1 + W2); #Perimeter.

[Maple Math]

Calculate the Reynolds number.

> ReDh1:= evalf(subs(case1, airprops, ReDh), 6);
#The flow is laminar.

[Maple Math]

Heat transfer rate into the fluid due to uniform heat flux over all surfaces.

> Qin:= q*S; S:= 2*(W1 + W2)*L;

[Maple Math]

[Maple Math]

Heat transfer to the fluid.

> Qfluid:= m*cp*(Tmo - Tmi);

[Maple Math]

Solve for the bulk outlet temperature.

> Tmo:= solve(Qin = Qfluid, Tmo);

[Maple Math]

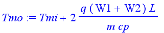
The above relationship can be written in the simpler form.

> Tmo:= Tmi + q*2*(W1 + W2)*L/(m*cp);

[Maple Math]

Compute the bulk outlet temperature.

> Tmo1:= evalf(subs(case1, airprops, Tmo), 4);

[Maple Math]

The surface temperature at the duct outlet can be determined from

the relation:

> Tso:= Tmo + q/h;

[Maple Math]

and the heat transfer coefficient can be obtained from the Nusselt number.

> h:= k*NuDh/Dh;

[Maple Math]

Compute the heat transfer coefficient.

The Nusselt number for a rectangular duct with aspect ratio of 4 is

NuDh = 5.33.

> h1:=
evalf(subs(NuDh = 5.33, case1, airprops, h), 4)*W/m^2/K;

[Maple Math]

Calculate the duct surface temperature at the duct outlet.

> Tso1:=
evalf(subs(NuDh = 5.33, case1, airprops, Tso), 4);

[Maple Math]

Summary of the results.

> `Reynolds number`:= ReDh1;

[Maple Math]

> `Tbulk outlet`:= Tmo1*C;

[Maple Math]

> `Tsurface outlet`:= Tso1*C;

[Maple Math]

> `heat transfer coeff`:= h1;

[Maple Math]