ME 353 Heat Transfer 1

M.M. Yovanovich

P3MT90.MWS

Problem 3 of Midterm Exam, October 1990.

_____________________________________________________

Trapezoidal conductor as shown in Fig. 3. The ends are isothermal

at temperatures T1 and T2; while the top and bottom surfaces are

adiabatic. The thermal conductivity is k.

The thickness at one end is 2 a, and the thickness at the other

end is 2 b. The length of the trapezoid is L where L >> b - a.

Steady-state, constant properties, no heat sources present.

______________________________________________________

> restart:

a) Find shape factor per unit width of system shown in Figure 3.

Use resistance for differential control volume.

> dR:= dx/(k*A);

[Maple Math]

> R:= Int(1/(k*A), x = 0..L);

[Maple Math]

> S:= 1/(k*R);

[Maple Math]

> A:= 2*y*w;

[Maple Math]

> w:= 1; y:= a + (b - a)*x/L;

[Maple Math]

[Maple Math]

> R:= int(dR/dx, x = 0..L);

[Maple Math]

> R:= (ln(b/a)*L)/(2*k*(b - a));

[Maple Math]

> S:= 1/(k*R);

[Maple Math]

Alternative solution using the hint given in the problem.

A change of variable from x to u where u = a + (b - a) x/L.

dx = L/(b - a) du.

Limits on u are u = a when x = 0 and u = b when x = L.

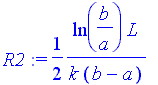
> R2:= Int(L/(2*w*k*u*(b - a)), u = a..b);

[Maple Math]

> R2:= value(%);

[Maple Math]

> R2:= (1/2)*L*ln(b/a)/(k*(b - a));

[Maple Math]

b) Determine the steady-state temperature distribution using

Fourier's law of conduction at the arbitrary plane x.

> restart:

Separate the variables T and x and integrate over appropriate limits.

> LHS:= `Q/(k*A)`; RHS:= - Diff(T(x), x);

[Maple Math]

[Maple Math]

> intLHS:= Int(Q/(k*A), x = 0..zeta);

[Maple Math]

> intRHS:= Int(- 1, T = T1..temp);

[Maple Math]

> A:= 2*y*w; w:= 1; y:= a + (b - a)*x/L;

[Maple Math]

[Maple Math]

[Maple Math]

Integrate the left and right-hand sides. Use zeta to represent

the variable x at the upper limit and let temp represent the variable

temperature at the position zeta.

> intLHS:= value(intLHS);

[Maple Math]

> intRHS:= value(intRHS);

[Maple Math]

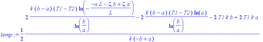
Equate the two sides and solve for temp.

> temp:= solve(intLHS - intRHS = 0, temp);

[Maple Math]

The heat transfer rate through the system can be obtained from the

shape factor or the resistance of the system.

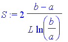
> Q:= k*S*(T1 - T2); S:= 2*(b - a)/L/ln(b/a);

[Maple Math]

[Maple Math]

Now solve for the temperature distribution.

> temp:= temp;

[Maple Math]

Obtain the alternative form of the solution from above relation by inspection.

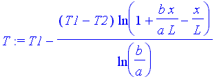
Now replace zeta by x and temp by T to get the solution.

> T:= T1 - (T1 - T2)*ln((1 + (b/a)*x/L - x/L))/ln(b/a);

[Maple Math]

Check of the temperature distribution at x = 0

where T = T1 and x = L where T = T2.

> `T(0)`:= simplify(subs(x = 0, T));

[Maple Math]

> `T(L)`:= simplify(subs(x = L, T));

[Maple Math]

The solution is correct.