ME 353 Heat Transfer 1

M.M. Yovanovich

P3MT93.MS

Problem 3 of Midterm Exam, October 1993.

___________________________________________

A truncated stainless steel cone of length L = 5 cm,

base diameter D2 = 10 cm and top diamter D1 = 5 cm.

The sides are insulated and the top and bottom

temperatures are 100 deg C and 59 deg C, rspectively.

The conductivity is k = 15 W/m K.

___________________________________________

> restart:

1. Derive expression for the shape factor assuming that T(x)

where x is measured along the cone axis.

Use the resistance of a differential control volume.

> dR:= dx/(k*A);

[Maple Math]

> R:= Int(1/(k*A), x = x1..x2);

[Maple Math]

> S:= 1/(k*R);

[Maple Math]

Now we must find a relation for the conduction area A and the

limits x1 and x2.

Relate the area to the radius at any point within the cone.

Use trigonometry to find a relation between r, x and the two

diameters: D1 and D2.

Let x run from x = 0 where the radius is D1/2 to x = L where

the radius is D2/2. Therefore x1 = 0 and x2 = L.

> A:= Pi*r^2;

[Maple Math]

> r:= D1/2 + (D2/2 - D1/2)*x/L;

[Maple Math]

> x1:= 0; x2:= L;

[Maple Math]

[Maple Math]

> R:= simplify(value(R));

[Maple Math]

> S:= simplify(value(S));

[Maple Math]

2. Estimate the heat flow rate through the cone.

> Qcone:= (T1 - T2)/Rcone;

[Maple Math]

> Rcone:= R;

[Maple Math]

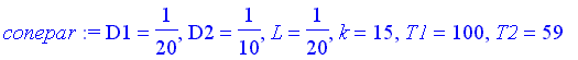
> conepar:=
(D1 = 5/100, D2 = 10/100, L = 5/100,
k = 15, T1 = 100, T2 = 59);

[Maple Math]

> Qcone:= evalf(subs(conepar, Qcone), 5);

[Maple Math]