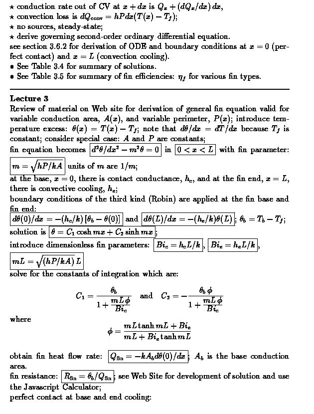
Index of /old/courses/me353/lecture/wk4tpcs
Parent Directory
P001.html
P002.html
P003.html
S001.jpeg
S002.jpeg
S003.jpeg