ME 353 Heat Transfer 1

M.M. Yovanovich

CARTPOISS1.MWS

Solution of Poisson equation in plane wall with Dirichlet boundary conditions.

The plane wall has thickness [Maple Math] and constant thermal conductivity [Maple Math] . The volumetric heat sources are constant and uniform at strength [Maple Math] . The two surface temperatures are maintained at temperatures: [Maple Math] and [Maple Math] .

Obtain the temperature distribution, the heat transfer rates out of the wall at [Maple Math] and [Maple Math] , and the location of the maximum temperature.

> restart:

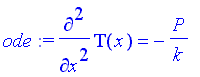
Poisson Equation and Its Solution.

> ode:= diff(T(x), x$2) = - P/k;

[Maple Math]

> sol:= dsolve(ode, T(x));

[Maple Math]

Dirichlet Boundary Conditions.

> bc1:= subs(x=0, rhs(sol)) = T[s1];

[Maple Math]

> bc2:= subs(x=L, rhs(sol)) = T[s2];

[Maple Math]

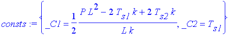
Solve for constants of integration.

> consts:= solve({bc1,bc2}, {_C1,_C2});

[Maple Math]

Assign the constants of integration to get the temperature distribution.

> assign(consts):

> expand(sol);

[Maple Math]

Heat transfer rates at the two boundaries.

> Q[0]:= expand(k*A*subs(x=0, diff(rhs(sol),x)));

[Maple Math]

> Q[L]:= expand(- k*A*subs(x=L, diff(rhs(sol),x)));

[Maple Math]

Check the result by addition of the two relations.

> Q[total]:= Q[0] + Q[L];

[Maple Math]

The total heat transfer rate from both boundaries is equal to the heat generation rate.

Location of the temperature maximum.

> x[max]:= expand(solve(diff(rhs(sol), x) = 0, x));

[Maple Math]

Verification of the location of temperature maximum.

When the two boundary temperatures are equal, the maximum temperature will occur in the midplane of the wall. Also the temperature gradient should be zero.

> subs(T[s1]=T[s2], x[max]);

[Maple Math]

> simplify(subs(x=x[max], diff(rhs(sol),x)));

[Maple Math]

The result is correct.