ME 353 Heat Transfer 1

M.M. Yovanovich

CARTPOISS2.MWS

Solution of Poisson equation in plane wall with Dirichlet and Neumann boundary conditions.

The plane wall has thickness [Maple Math] and constant thermal conductivity [Maple Math] . The volumetric heat sources are constant and uniform at strength [Maple Math] . The boundary at [Maple Math] is adiabatic and the boundary at [Maple Math] is maintained temperature [Maple Math] .

Obtain the temperature distribution, the maximum temperature at [Maple Math] , and the heat transfer rate out of the wall [Maple Math] .

> restart:

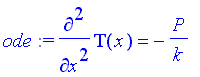
Poisson Equation and Its Solution.

> ode:= diff(T(x), x$2) = - P/k;

[Maple Math]

> sol:= dsolve(ode, T(x));

[Maple Math]

> T:= rhs(sol); derT:= diff(T,x);

[Maple Math]

[Maple Math]

Dirichlet Boundary Conditions.

> bc1:= subs(x=0, derT) = 0;

[Maple Math]

> bc2:= subs(x=L, T) = Ts;

[Maple Math]

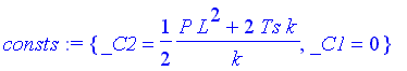
Solve for constants of integration.

> consts:= solve({bc1,bc2}, {_C1,_C2});

[Maple Math]

Assign the constants of integration to get the temperature distribution.

> assign(consts):

> Temp:=expand(T);

[Maple Math]

Maximum temperature is at [Maple Math] .

> T[max]:= expand(subs(x=0, Temp));

[Maple Math]

Heat transfer rates at the two boundaries.

> Q[0]:= expand(k*A*subs(x=0, diff(Temp,x)));

[Maple Math]

> Q[L]:= expand(- k*A*subs(x=L, diff(Temp,x)));

[Maple Math]

Check the result by addition of the two relations.

> Q[total]:= Q[0] + Q[L];

[Maple Math]

The total heat transfer rate from both boundaries is equal to the heat generation rate.