Forced Convection from Isothermal Sphere

M.M. Yovanovich

FCSPHWATER1.MWS

Forced convection from an isothermal sphere into water.

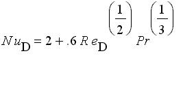
Use the correlation equation of Ranz and Marshall (1952): [Maple Math] .

> restart:

Correlation equations for properties of water.

> k:= T->-.9866071429e-5*T^2+.2238035714e-2*T+.5536071429:
rho:= T->-.3582589286e-2*T^2-.6559821429e-1*T+1002.676071: cp:=T->-.1554398148e-3*T^3+.3851686508e-1*T^2-2.313042328*T+4216.855556:
nu:=T->.3177083333e-13*T^4-.8965277778e-11*T^3+.9827083333e-9*T^2-.5532222222e-7*T+.1787666667e-5:
alpha:= T->-.1015625000e-14*T^4+.2320601852e-12*T^3-.1855902778e-10*T^2+.9248148148e-9*T+.1307055556e-6:
Pr:= T-> .3046875000e-6*T^4-.8457175926e-4*T^3+.8985763889e-2*T^2-.4760621693*T+13.59579365:

System parameter values. Find Q.

> syspar1:= (D=40/1000, T=310, Tinfty=290, U=1);

[Maple Math]

Heat transfer relations.

> Eq:= Q-h*A*(T-Tinfty)=0:

> A:= Pi*D^2:

> h:= k(T)*NuD/D:

> NuD:= 2 + 0.6*ReD^(1/2)*Pr(T)^(1/3):

> ReD:= U*D/nu(T):

> Eq1:= evalf(subs(syspar1, Eq),6);

[Maple Math]

> Q1:= solve(Eq1, Q);

[Maple Math]

System parameter values for case 2. Find T.

> syspar2:= (D=40/1000, Q=75, Tinfty=290, U=3);

[Maple Math]

> Eq2:= evalf(subs(syspar2, Eq),6):

> T2:= evalf(fsolve(Eq2, T), 5);

[Maple Math]

System parameter values for case 3. Find U.

> syspar3:= (D=20/1000, Q=45, T=315, Tinfty=295);

[Maple Math]

> Eq3:= evalf(subs(syspar3, Eq),6):

> U3:=evalf(fsolve(Eq3, U), 5);

[Maple Math]

These examples illustrate how Maple can be used to find the unknown parameters [Maple Math] when the remaining parameter values are known.