ME 353 Heat Transfer 1

M.M. Yovanovich

NC2SPH1.MWS

_______________________________________

Natural convection in annular space bounded by

two concentric, isothermal spheres.

The inner and outer diameters and temperatures

are: Di, Do and Ti, To, respectively.

Fluid properties are based on the mean value

of the inner and outer surface temperatures.

The expression for the effective thermal conductivity

of the fluid in the annular space is valid for the

range 10^2 <= Racstar <= 10^4. For Racstar < 100,

keff/kf = 1.

The correlation equation agrees with experimental data

to within plus or minus 10% for laminar flow.

________________________________________

> restart:

System parameters and fluid properties.

Dry air properties at Tf = (Ti + To)/2 = 330 K.

> syspar:=
(g = 9.81, Di = 75/1000, Do = 200/1000, Ti = 360, To = 300);

[Maple Math]

> airprops:=
(kf = 0.0287, rho = 1.073, cp = 1006, mu = 19.713-6,
nu = 18.37*10^(-6), alpha = (18.37/.69)*10^(-6),
Pr = 0.69, beta = 1/330);

[Maple Math]
[Maple Math]

Raithby-Hollands (1975) correlation equation.

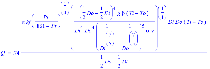
> Q:= Pi*keff*(Di*Do/L)*(Ti - To);
#Eq.(9.61)

[Maple Math]

> keff:= 0.74*kf*(Pr/(0.861 + Pr))^(1/4)*Rasstar^(1/4);
#Eq. (9.62)

[Maple Math]

> Rasstar:= L/(Di*Do)^4/(Di^(-7/5) + Do^(-7/5))^5*RaL;
#Eq. (9.63)

[Maple Math]

> RaL:= g*beta*(Ti - To)*L^3/(alpha*nu);
#Not defined in the 4th edition

[Maple Math]

> L:= (Do - Di)/2; #See Fig. 9.14

[Maple Math]

The heat transfer per unit length expression.

> Q:= Q;

[Maple Math]

Observe that L does not appear in the above expression

and further that Do*Di can be cancelled from the expression.

The expression can be written in the following form:

> Q:=
0.74*Pi*kf*Di*(Pr/(0.861 + Pr))^(1/4)/
(1 + (Di/Do)^(7/5))^(5/4)*(g*beta*
(Ti - To)*Di^3/(alpha*nu))^(1/4)*(Ti - To);

[Maple Math]

The dimensionless parameter which remains is the Rayleigh

number which is based on the diameter of the inner sphere.

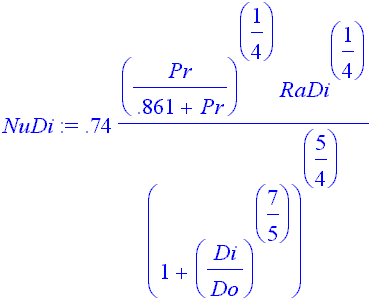
The relation can be written in terms of the Nusselt number

based on the inner diameter NuDi = Q Di/(pi Di^2 kf (Ti - T0))

and the Rayleigh number.

> NuDi:= .74*(Pr/(0.861 + Pr))^(1/4)/
(1 + (Di/Do)^(7/5))^(5/4)*RaDi^(1/4);

[Maple Math]

> RaDi:= g*beta*(Ti - To)*Di^3/(alpha*nu);

[Maple Math]

Computation of the parameters.

> RaL1:=
evalf(subs(airprops, syspar, RaL), 5);

[Maple Math]

> Rasstar1:=
evalf(subs(airprops, syspar, Rasstar), 5);

[Maple Math]

> RaDi1:=
evalf(subs(airprops, syspar, RaDi), 5);

[Maple Math]

> NuDi1:=
evalf(subs(airprops, syspar, NuDi), 5);

[Maple Math]

> keff1:=
evalf(subs(airprops, syspar, airprops, keff), 5);

[Maple Math]

> Q:=
evalf(subs(airprops, syspar, Q), 5);

[Maple Math]

The flow within the annular space is laminar.

The relationships given above can be used to calculate

another case. The fluid is air at Tf = 350 K.

The diameters are Di = 120 mm and Do = 160 mm.

> airprops2:=
(g = 9.81, kf = 0.030, nu = 20.92e-6, alpha = 29.9e-6,
Pr = 0.70, beta = 0.00285);

[Maple Math]

> sph2:=
(Di = 120/1000, Do = 160/1000, Ti = 120 + 273, To = 35 + 273);

[Maple Math]

> RaL2:=
evalf(subs(airprops2, sph2, RaL), 6);

[Maple Math]

> Rasstar2:=
evalf(subs(airprops2, sph2, Rasstar), 6);

[Maple Math]

> RaDi2:=
evalf(subs(airprops2, sph2, RaDi), 6);

[Maple Math]

> NuDi2:=
evalf(subs(airprops2, sph2, NuDi), 6);

[Maple Math]

> keff2:=
evalf(subs(airprops2, sph2, airprops, keff), 6);

[Maple Math]

> Q2:=
evalf(subs(airprops2, sph2, Q), 6);

[Maple Math]

>