ME 353 Heat Transfer 1

M.M. Yovanovich

VIEW3.MWS

View factors for two-dimensional, three surface enclosure.

_______________________________________

Derivation of view factor between two isothermal

convex surfaces which are part of a three surface

long two-dimensional enclosure.

_______________________________________

> restart:

> eq1:= A1*F11 + A1*F12 + A1*F13 - A1 = 0;

[Maple Math]

> eq2:= A2*F21 + A2*F22 + A2*F23 - A2 = 0;

[Maple Math]

> eq3:= A3*F31 + A3*F32 + A3*F33 - A3 = 0;

[Maple Math]

The three surfaces are convex.

> F11:= 0; F22:= 0; F33:= 0;

[Maple Math]

[Maple Math]

[Maple Math]

Use the reciprocity relationships.

> F21:= A1*F12/A2;
F31:= A1*F13/A3;
F32:= A2*F23/A3;

[Maple Math]

[Maple Math]

[Maple Math]

> eq1; eq2; eq3;

[Maple Math]

[Maple Math]

[Maple Math]

Add eq1 and eq2.

> eq4:= eq1 + eq2;

[Maple Math]

Subtract eq3 from eq4.

> eq5:= eq4 - eq3;

[Maple Math]

Solve for the view factor F12.

> simplify(solve(eq5, F12));

[Maple Math]

The expression for the view factor F12 can be written as

> F12:= (A1 + A2 - A3)/(2*A1);

[Maple Math]

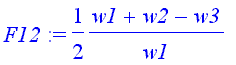
The expression for the view factor can be written

in terms of the dimensions of the sides of the three areas.

> F12:=
subs(A1 = w1, A2 = w2, A3 = w3, F12);

[Maple Math]

>