Transient Conduction in Plane Wall:

Single Term Approximation

M.M. Yovanovich

DFWALL1TERM.MWS

One-dimensional conduction in plane wall. Single term approximation.

The single term approximation is applicable for all values of the Biot number provided the

dimensionless time is greater than [Maple Math] .

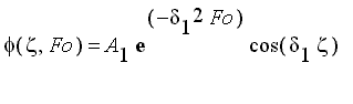
The single term approximations have the forms: [Maple Math] and [Maple Math]

where the Fourier temperature and heat loss fraction coefficients are found from [Maple Math] and

[Maple Math] . The first root of the characteristic equation [Maple Math] is obtained from the approximation

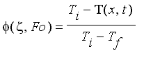
[Maple Math] and the parameter [Maple Math] . For cooling the dimensionless temperature is defined as [Maple Math] , [Maple Math] , [Maple Math] , and [Maple Math] .

> restart:

Dimensionless temperature.

> phi:= A1*exp(-delta1^2*Fo)*cos(delta1^2*zeta);

[Maple Math]

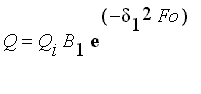
Heat loss fraction.

> Q_Qi:= 1- B1*exp(-delta1^2*Fo);

[Maple Math]

Fourier coefficients for temperature and heat loss fraction.

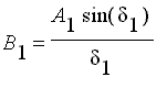
> A1:= 2*sin(delta1)/(delta1 + sin(delta1)*cos(delta1));

[Maple Math]

> B1:= A1*sin(delta1)/delta1;

[Maple Math]

First root of characteristic equation.

> delta1:= Pi/2/(1 + (Pi/2/sqrt(Bi))^n)^(1/n);

[Maple Math]

> n:= 2.139;

[Maple Math]

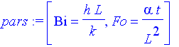
Dimensionless system parameters.

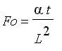
> pars:= [Bi = h*L/k, Fo=alpha*t/L^2];

[Maple Math]

Example 1.

> case1:= (L=100/1000, k = 20, h = 100, alpha=20e-6, t = 600);

[Maple Math]

Calculation of system dimensionless parameters.

> parsvals:= subs(case1, pars);

[Maple Math]

Dimensionless temperature distribution.

> phi1:= evalf(subs(pars, case1, phi));

[Maple Math]

Calculation of heat loss fraction.

> Q_Qi1:= evalf(subs(pars, case1, Q_Qi));

[Maple Math]

> plot(phi1, zeta=0..1);

[Maple Plot]

>