Transient Conduction in Halfspace: Dirichlet Problem

M.M. Yovanovich

HSDIRICHLET.MWS

One-dimensional conduction in halfspace. The equation is [Maple Math] in the halfspace [Maple Math] for time [Maple Math] .

The initial condition is uniform temperature throughout the halfspace, [Maple Math] . The boundary conditions are (i) as [Maple Math] , [Maple Math] , and (ii) at the free surface [Maple Math] , the temperature is maintained at a constant value [Maple Math] which may be greater than the initial temperature excess, or smaller than the initial temperature excess. Laplace transform methods give the solution directly which can be expressed as [Maple Math] where [Maple Math] .

> restart:

Heating of the halfspace.

> T:= Ti + (T0-Ti)*erfc(x/(2*sqrt(alpha*t)));

[Maple Math]

Instantaneous heat flux at arbitrary location [Maple Math] .

> qx:= -k*diff(T,x);

[Maple Math]

Instantaneous surface heat flux.

> q0:= simplify(subs(x=0,qx));

[Maple Math]

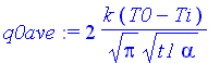
Average surface heat flux.

> q0ave:= Int(q0,t=0..t1)/t1;

[Maple Math]

> q0ave:= value(%);

[Maple Math]

Alternative relation.

> q0ave:= 2/sqrt(Pi)*k*(T0-Ti)/sqrt(alpha*t1);

[Maple Math]

> case1:= (T0=350, Ti=300, x=10/1000, alpha=20e-6, k= 80, t=100);

[Maple Math]

> T1:= evalf(subs(case1, T));

[Maple Math]

> q01:= evalf(subs(case1, q0),6);

[Maple Math]

> q0ave1:= evalf(subs(t1 = t, case1, q0ave),6);

[Maple Math]

Plot of temperature distribution.

> case11:= (T0=350, Ti=300, alpha=20e-6, k= 80, t=100);

[Maple Math]

> T11:= subs(case11, T);

[Maple Math]

> plot(T11,x=0..200/1000);

[Maple Plot]

>