Maple Tutorial 3:
Some Maple Commands

M.M. Yovanovich

TUTORIAL3.MWS

Some useful Maple commands.

> restart:

> f:= (x+y)*(x+y)^2;

[Maple Math]

> g:= expand(f);

[Maple Math]

> factor(g);

[Maple Math]

> diff(f,x);

[Maple Math]

> diff(g, y$3);

[Maple Math]

> int(f, x);

[Maple Math]

> h:= f/g;

[Maple Math]

> n:= numer(h);

[Maple Math]

> d:= denom(h);

[Maple Math]

> subs(x=1, f);

[Maple Math]

> subs(x=1, y=3, f);

[Maple Math]

> nops(d);

[Maple Math]

> op(1,d); op(3,d); op(2..4,d);

[Maple Math]

[Maple Math]

[Maple Math]

> abs(-a + b);

[Maple Math]

> sqrt(x); sqrt(x^2); subs(x = 2, %); simplify(%);

[Maple Math]

[Maple Math]

[Maple Math]

[Maple Math]

> sqrt(3); sqrt(3.);

[Maple Math]

[Maple Math]

> solve(a*x + b = c,x);

[Maple Math]

> fsolve(exp(-x) = x, x);

[Maple Math]

> log(10.); ln(10.); log10(10.); evalf(%,10);

[Maple Math]

[Maple Math]

[Maple Math]

[Maple Math]

> int(sin(x), x); int(sin(x), x = a..b);

[Maple Math]

[Maple Math]

> subs(a = Pi/3, b = Pi/4, %); evalf(%, 8);

[Maple Math]

[Maple Math]

> Int(sin(x), x = a..b);

[Maple Math]

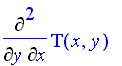
> Diff(T(x,y),x); Diff(T(x,y),y); Diff(T(x,y),x,y);

[Maple Math]

[Maple Math]

[Maple Math]

> add(i, i = 1..5);

[Maple Math]

> s:= [seq(i^2, i = 1..6)];

[Maple Math]

> s[1]; s[3]; s[6];

[Maple Math]

[Maple Math]

[Maple Math]

> f1:= x = sin(x)^3 + cos(y)^2;

[Maple Math]

> lhs(f1); rhs(f1); op(1, rhs(f1));

[Maple Math]

[Maple Math]

[Maple Math]

> subs(x=Pi/3, op(1, rhs(f1))); evalf(%, 5);

[Maple Math]

[Maple Math]

> series(sin(x), x, 9);

[Maple Math]

> series(sinh(x)/x, x, 8);

[Maple Math]

> limit(sin(x)/x, x=0);

[Maple Math]

> sort([3,2,6,4,5,1]);

[Maple Math]

> p:= expand((1+2*x)*(x+y)^2);

[Maple Math]

> sort(p,x);

[Maple Math]

> sort(p,{x,y});

[Maple Math]

> coeff(p,x,2);

[Maple Math]

> coeff(p,x^2);

[Maple Math]

> combine(exp(a)*exp(-b), exp);

[Maple Math]

> combine(ln(3)+ln(2), ln);

[Maple Math]

> combine(x^a*x^b, power);

[Maple Math]

> combine(sin(x)*cos(y), trig);

[Maple Math]

> round(2.123); round(2.756);

[Maple Math]

[Maple Math]

> trunc(3.234); trunc(3.765);

[Maple Math]

[Maple Math]

> sign(-3.65); sign(3.65);

[Maple Math]

[Maple Math]

> min(1,3,5,7,9); max(1,3,5,7,9);

[Maple Math]

[Maple Math]

> taylor(exp(x), x = 0, 4);

[Maple Math]

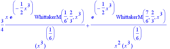
> int(exp(-x^3), x); series(%, x, 7);

[Maple Math]

[Maple Math]