Maple Tutorial 12:
Ordinary Differential Equations
M.M. Yovanovich
TUTORIAL12.MWS
Some important ordinary differential equations for science and engineering applications.
> restart: with(DEtools):
Airy Equation.
> deq1:= diff(y(x) ,x,x) - x*y(x) = 0;
> sol1:= dsolve(deq1, y(x));
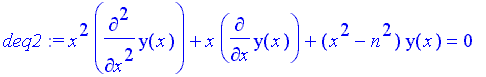
Bessel Equation with parameter n.
> deq2:= x^2*diff(y(x),x,x) + x*diff(y(x),x) + (x^2-n^2)*y(x) = 0;
> sol2:= dsolve(deq2, y(x));
Bessel Equation with parameter n = 0 and 1.
> deq20:= subs(n = 0, deq2);
> sol20:= dsolve(deq20, y(x));
> deq21:= subs(n = 1, deq2);
> sol21:= dsolve(deq21, y(x));
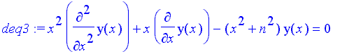
Modified Bessel Equation with parameter n.
> deq3:= x^2*diff(y(x),x,x) + x*diff(y(x),x) - (x^2 + n^2)*y(x) = 0;
> sol3:= dsolve(deq3, y(x));
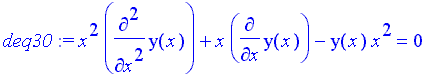
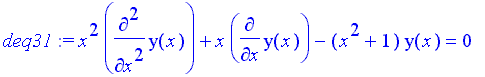
Modified Bessel Equation with parameter n = 0 and 1.
> deq30:= subs(n = 0, deq3);
> sol30:= dsolve(deq30, y(x));
> deq31:= subs(n = 1, deq3);
> sol31:= dsolve(deq31, y(x));
Legendre's Equation.
> deq4:= (1-x^2)*diff(y(x), x,x) - 2*x*diff(y(x),x) + k*(k+ 1)*y(x) = 0;
> sol4:= dsolve(deq4, y(x)):
Maple returns a complex expression. Lets examine some special cases: k = 0, 1, 2.
> deq40:= subs(k = 0, deq4);
> sol40:= dsolve(deq40, y(x));
> deq41:= subs(k = 1, deq4);
> sol41:= dsolve(deq41, y(x));
> deq42:= subs(k = 2, deq4);
> sol42:= dsolve(deq42, y(x));