ME 353 Heat Transfer 1

M.M. Yovanovich

PROJ981.MWS

___________________________________________________

Project 1.

Solve problem 3.131 of the 4th edition of Fundamentals of Heat

Transfer and Mass Transfer by Incropera and DeWitt, 1996.

Assumptions:

1) Steady-state

2) One-dimensional radial heat conduction. To be checked.

3) Constant properties.

4) Uniform heat transfer coefficients over all surfaces.

5) Radiation heat transfer is negligible.

The analysis can be performed per unit length of the cylinder or per

fin and its adjoining cylinder surface.

The analysis will be based on a per fin and the fin resistance will be used.

The temperatures are: Ti, inner surface temperature, T1, interface temperature,

Tb, base temperature, Tf, fluid temperature when the contact resistance is

ignored.

When contact resistance is considered, then the interface temperature drop

is T11 - T1.

> restart:

System parameters.

> par:=
[ri = 60/1000, r1 = 66/1000, r2 = 70/1000, r0 = 95/1000,
r02 = (95 + 1)/1000, k1 = 50, k2 = 240, h = 100, q = 1e5,
t = 2/1000,
delta = 2/1000, hc = 1e4, Tf = 320];

[Maple Math]
[Maple Math]

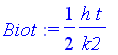
Check the Biot number for one-dimensional conduction.

> Biot:= h*(t/2)/k2;

[Maple Math]

> Biot:= evalf(subs(par, Biot), 4);

[Maple Math]

Since Biot << 0.2, the temperature is one-dimensional.

Temperature relations without contact resistance.

> Tb:= Tf + Q*R;

[Maple Math]

> T1:= Tb + Q*Rcyl2;

[Maple Math]

> Tiwo:= T1 + Q*Rcyl1;

[Maple Math]

Temperature relations with contact resistance.

> Tb:= Tf + Q*R;

[Maple Math]

> T1:= Tb + Q*Rcyl2;

[Maple Math]

> T11:= T1 + Q*Rc;

[Maple Math]

> Tiw:= T11 + Q*Rcyl1;

[Maple Math]

Heat flow rate and component resistances.

> Q:= q*Ai; Ai:= 2*Pi*ri*(t + delta);

[Maple Math]

[Maple Math]

> Rfin:= thetab/Qfin;

[Maple Math]

> Rb:= 1/(h*Ab); Ab:= 2*Pi*r2*delta;

[Maple Math]

[Maple Math]

> R:= 1/(1/Rfin + 1/Rb);

[Maple Math]

> Rc:= 1/(hc*A1); A1:= 2*Pi*r1*(t + delta);

[Maple Math]

[Maple Math]

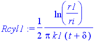
> Rcyl1:= ln(r1/ri)/(2*Pi*k1*(t + delta));

[Maple Math]

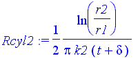
> Rcyl2:= ln(r2/r1)/(2*Pi*k2*(t + delta));

[Maple Math]

Fin resistance is based on the expression given in the text for the

fin heat transfer rate.

> Qfin:=
2*Pi*k2*r2*t*m*thetab*(BesselK(1, m*r2)*BesselI(1, m*r02)
- BesselI(1, m*r1)*BesselK(1, m*r02))/
(BesselK(0, m*r2)*BesselI(1, m*r02)
+ BesselI(0, m*r1)*BesselK(1, m*r02));

[Maple Math]
[Maple Math]

> m:= sqrt(2*h/(k2*t)); #Fin parameter.

[Maple Math]

Calculation of temperatures without contact resistance.

> Tb:= evalf(subs(par, Tb), 8): Tb:= evalf(%, 5)*K;

[Maple Math]

> T1wo:= evalf(subs(par, T1), 8): T1:= evalf(%, 5)*K;

[Maple Math]

> Tiwo:= evalf(subs(par, Tiwo), 8): Tiwo:= evalf(%, 5)*K;

[Maple Math]

Calculation of the temperatures with contact resistance.

> Tb:= evalf(subs(par, Tb), 8): Tb:= evalf(%, 5);

[Maple Math]

> T1w:= evalf(subs(par, T1), 8): T1w:= evalf(%, 5);

[Maple Math]

> T11w:= evalf(subs(par, T11), 8): T11w:= evalf(%, 5)*K;

[Maple Math]

> Tiw:= evalf(subs(par, Tiw), 8): Tiw:= evalf(%, 5)*K;

[Maple Math]

The contact resistance contributes an additional temperature rise

of approximately 9 degrees C.