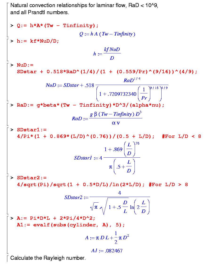
Index of /old/courses/me3532/maple
Parent Directory
airprops.html
airprops1.gif
airprops2.gif
airprops3.gif
airprops4.gif
airprops5.gif
besfcns1.html
besfcns11.gif
besfcns12.gif
bgfcuboid.html
bgfcuboid1.gif
bgfcuboid2.gif
bgfcuboid3.gif
cartlap1.html
cartlap11.gif
cartlap12.gif
cartlap13.gif
cartlap2.html
cartlap21.gif
cartlap22.gif
cartlap23.gif
cartpos1.html
cartpos11.gif
cartpos12.gif
cartpos13.gif
cartpos2.html
cartpos21.gif
cartpos22.gif
cartpos23.gif
cartpos24.gif
cartpos25.gif
ceeqs2.html
ceeqs21.gif
ceeqs22.gif
ceeqs23.gif
ceeqs24.gif
condeq1.html
condeq11.gif
condeq12.gif
condeq13.gif
condeq14.gif
condeq15.gif
condeq2.html
condeq21.gif
condeq22.gif
condeq23.gif
condeq24.gif
cylind2.html
cylind21.gif
cylind22.gif
cyllap1.html
cyllap11.gif
cyllap12.gif
cyllap13.gif
cyllap2.html
cyllap21.gif
cyllap22.gif
cyllap23.gif
cylpois1.html
cylpois11.gif
cylpois12.gif
cylpois13.gif
ex13p5.html
ex13p6.html
ex1p5.html
ex1p51.gif
ex1p52.gif
ex1p6.html
ex1p61.gif
ex1p62.gif
ex1p63.gif
ex3p10.html
ex3p101.gif
ex3p102.gif
ex3p103.gif
ex3p9.html
ex3p91.gif
ex3p92.gif
ex3p93.gif
ex3p94.gif
ex5p3.html
ex5p31.gif
ex5p32.gif
ex5p33.gif
ex5p4.html
ex5p41.gif
ex5p42.gif
ex5p43.gif
ex5p44.gif
ex5p5.html
ex5p51.gif
ex5p52.gif
ex5p6.html
ex5p61.gif
ex5p62.gif
ex5p63.gif
ex5p64.gif
exp13p51.gif
exp13p52.gif
exp13p53.gif
exp13p61.gif
exp13p62.gif
exp13p63.gif
fcexp1.html
fcexp11.gif
fcexp12.gif
fcexp13.gif
fcexp2.html
fcexp21.gif
fcexp22.gif
fcexp23.gif
fcexp24.gif
fcint1.html
fcint11.gif
fcint12.gif
fcint2.html
fcint21.gif
fcint22.gif
fcturb1.html
fcturb11.gif
fcturb12.gif
finlong1.html
finlong11.gif
finlong12.gif
finlong13.gif
finlong14.gif
finlong15.gif
finrad1.html
finrad11.gif
finrad12.gif
finrad2.html
finrad21.gif
finrad22.gif
finrad23.gif
hspdf2.html
hspdf21.gif
hspdf22.gif
hspdf23.gif
lump1.html
lump11.gif
lump12.gif
lump13.gif
lump14.gif
nc2cyl.html
nc2cyl1.gif
nc2cyl2.gif
nc2cyl3.gif
nc2cyl4.gif
nc2cyl5.gif
nc2sph.html
nc2sph1.gif
nc2sph2.gif
nc2sph3.gif
nc2sph4.gif
nc2sph5.gif
ncexp1.html
ncexp11.gif
ncexp12.gif
ncexp13.gif
ncexp2.html
ncexp21.gif
ncexp22.gif
ncexp23.gif
ncexp24.gif
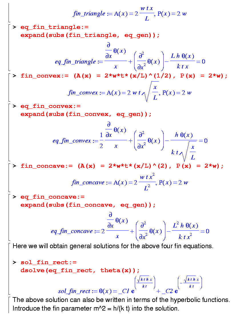
numfin1.html
numfin11.gif
numfin12.gif
numfin13.gif
numfin14.gif
numfin15.gif
numfin2.html
numfin21.gif
numfin22.gif
numfin23.gif
numfin24.gif
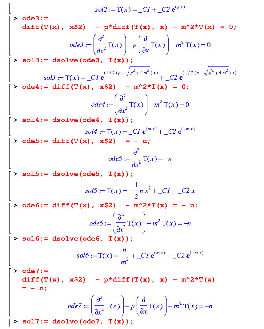
odes1.html
odes11.gif
odes12.gif
odes2.html
odes21.gif
odes22.gif
odes23.gif
plate2.html
plate21.gif
plate22.gif
pldf1.html
pldf11.gif
pldf12.gif
pldf13.gif
radresis.html
radresis1.gif
radresis2.gif
resphys1.html
resphys11.gif
resphys12.gif
resphys13.gif
shpsqsqx.html
shpsqsqx1.gif
shpsqsqx2.gif
shpsqsqx3.gif
sphere2.html
sphere21.gif
sphere22.gif
sphlap1.html
sphlap11.gif
sphlap12.gif
sphlap13.gif
view1.html
view11.gif
view12.gif
view13.gif
view2.html
view21.gif
view22.gif
view23.gif
view24.gif
view25.gif
view3.html
view31.gif
view32.gif
view4.html
view41.gif
view42.gif
view43.gif
view5.html
view51.gif
view52.gif