Resistance in Rectangle

M.M. Yovanovich

RESRECT3.MWS

Dimensionless resistance in a rectangle of width [Maple Math] , height [Maple Math] , thermal conductivity [Maple Math] . The left boundary at [Maple Math] and the right boundary at [Maple Math] are adiabatic. The upper boundary at [Maple Math] convectively cooled.

This system corresponds to the case where [Maple Math] and [Maple Math] .

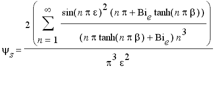
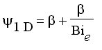
The lower boundary at [Maple Math] from [Maple Math] to [Maple Math] has uniform flux [Maple Math] , and the remainder of that boundary from [Maple Math] to [Maple Math] is adiabatic. The dimensionless spreading resistance [Maple Math] depends on [Maple Math] , [Maple Math] and [Maple Math] in the following manner: [Maple Math] . The dimensionless one-dimensional flow resistance is [Maple Math] , and the dimensionless total resistance is the sum of the spreading resistance and the 1D flow resistance.

> restart:

System parameters.

> nmax:= 30:

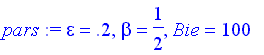
> pars:= (epsilon = 0.2, beta = 1/2, Bie = 100);

[Maple Math]

> term:= 2/(Pi^3*epsilon^2)*sin(n*Pi*epsilon)^2/n^3*((n*Pi + Bie*tanh(n*Pi*beta))/(n*Pi*tanh(n*Pi*beta) + Bie));

[Maple Math]

> terms:= evalf([seq(subs(pars, term), n=1..nmax)]):

> psi:= add(terms[j], j=1..nmax);

[Maple Math]

> psi1D:= beta + beta/Bie;

[Maple Math]

> psi1D1:= evalf(subs(pars, psi1D));

[Maple Math]

> kR:= psi + psi1D1;

[Maple Math]

Summary of input and output parameters.

> pars; nmax:= nmax; kR:= kR;

[Maple Math]

[Maple Math]

[Maple Math]