Resistance in Rectangle: General Solution

M.M. Yovanovich

RESRECTGEN.MWS

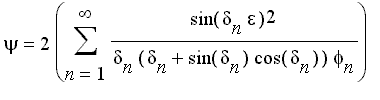
The dimensionless resistance in a rectangle of width [Maple Math] , height [Maple Math] , and thermal conductivity [Maple Math] . The left boundary at [Maple Math] is adiabatic, and the right boundary at [Maple Math] is convectively cooled where [Maple Math] . The upper boundary at [Maple Math] is convectively cooled where [Maple Math] . The lower boundary at [Maple Math] has a uniform heat flux [Maple Math] over the interval from [Maple Math] to [Maple Math] , and the remainder of that boundary is adiabatic. The dimensionless resistance which is based on the average temperature of the heat source area, [Maple Math] is a function of four dimensionless parameters: [Maple Math] . The dimensionless resistance is obtained from the series: [Maple Math] where [Maple Math] , and the eigenvalues [Maple Math] are the positive, real roots of the characteristic equation: [Maple Math] .

There are several special cases which arise from the general solution.

> restart:

> nmax:= 40:

General solution.

> pars:= (beta=1/2, epsilon=0.2, Bi=1e-5, Bie=100);

[Maple Math]

> term:= (2/epsilon^2)*sin(d*epsilon)^2/(d^2*phi*(d + sin(d)*cos(d)));

[Maple Math]

> phi:= (d*beta*tanh(d*beta) + Bie)/(d*beta+ Bie*tanh(d*beta));

[Maple Math]

> ce:= d*sin(d)=Bi*cos(d);

[Maple Math]

> dvals:= [seq(fsolve(subs(pars, ce), d=(n-1)*Pi..(n-1/2)*Pi), n=1..nmax)]:

> terms:= [seq(evalf(subs(pars, d=dvals[j], term)),j=1..nmax)]:

> terms[1]; terms[nmax];

[Maple Math]

[Maple Math]

> psi:= add(terms[j], j=1..nmax);

[Maple Math]

Summary of input and output parameters.

> pars:= pars; nmax:= nmax; kR:= psi;

[Maple Math]

[Maple Math]

[Maple Math]

> psi1:=(epsilon,nmax)->evalf(add(2/Pi^3/epsilon^2*sin(n*Pi*epsilon)^2/n^3,n=1..nmax));

[Maple Math]

>