ME 651 Advanced Heat Conduction

M.M. Yovanovich

TEMPGRADS.MWS

Temperature gradients in cartesian, cylinder and spherical coordinates.

The three components of the heat flux vector in cartesian, cylindrical and spherical coordinates.

> restart:

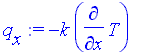
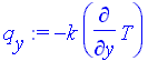
Cartesian coordinates: [Maple Math] .

> alias(T = T(x,y,z, t)):

> q[x]:= - k*diff(T,x); q[y]:= - k*diff(T,y); q[z]:= - k*diff(T,z);

[Maple Math]

[Maple Math]

[Maple Math]

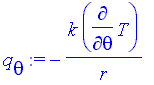
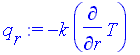
Circular cylinder coordinates: [Maple Math] .

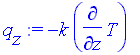
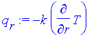
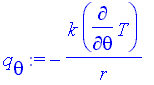
> alias(T = T(r,theta,z,t)):

> q[r]:= -k*diff(T,r); q[theta]:= -k*diff(T,theta)/r; q[z]:= -k*diff(T,z);

[Maple Math]

[Maple Math]

[Maple Math]

Spherical coordinates: [Maple Math] .

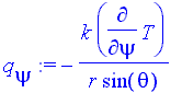
> alias(T = T(r,theta,psi,t)):
q[r]:= -k*diff(T,r); q[theta]:= -k*diff(T,theta)/r; q[psi]:= -k*diff(T,psi)/(r*sin(theta));

[Maple Math]

[Maple Math]

[Maple Math]

>