Transient Conduction in Cylinder:

Single Term Approximation

M.M. Yovanovich

DFCYL1TERM.MWS

One-dimensional transient conduction in long solid circular cylinder. Single term approximation.

The single term approximation is applicable for all values of the Biot number provided the

dimensionless time is greater than [Maple Math] .

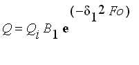
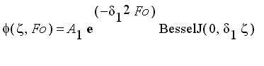
The single term approximations have the forms: [Maple Math] and [Maple Math]

where the Bessel-Fourier temperature and heat loss fraction coefficients are found from [Maple Math] and [Maple Math] . The first root of the characteristic

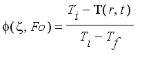
equation [Maple Math] are obtained from the approximation [Maple Math] and the parameter [Maple Math] . For cooling the dimensionless temperature is defined as [Maple Math] , and [Maple Math] , [Maple Math] , and [Maple Math] .

> restart:

Dimensionless temperature.

> phi:= A[1]*exp(-delta[1]^2*Fo)*BesselJ(0,delta[1]*zeta);

[Maple Math]

Heat loss fraction.

> Q_Qi:= 1-B[1]*exp(-delta[1]^2*Fo);

[Maple Math]

Bessel-Fourier coefficients for temperature and heat loss fraction.

> A[1]:= 2*BesselJ(1,delta[1])/(delta[1]*(BesselJ(0,delta[1])^2 + BesselJ(1,delta[1])^2));

[Maple Math]

> B[1]:= 2*A[1]*BesselJ(1,delta[1])/delta[1];

[Maple Math]

First root of characteristic equation.

> delta[1]:= 2.4048255/(1+ (2.4048255/sqrt(2*Bi))^n)^(1/n);

[Maple Math]

> n:= 2.238;

[Maple Math]

Dimensionless system parameters.

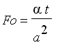
> pars:= [Bi = h*a/k, Fo=alpha*t/a^2];

[Maple Math]

Example 1.

> case1:= (a=20/1000, k = 20, h = 100, alpha=20e-6, t = 6);

[Maple Math]

Calculation of system dimensionless parameters.

> parsvals:= subs(case1, pars);

[Maple Math]

Dimensionless temperature distribution.

> phi1:= evalf(subs(pars, case1, phi));

[Maple Math]

Calculation of heat loss fraction.

> Q_Qi1:= evalf(subs(pars, case1, Q_Qi));

[Maple Math]

> plot(phi1, zeta=0..1);

[Maple Plot]

>